Impressum: Haas - Physik
Dieser Bericht wird durch Spenden finanziert !
(1) Dieser Bericht wendet sich an Physiker (gemeint sind auch Physikerinnen), die auf Grund ihres an einer Hochschule/Universität erworbenen Fachwissens als Experten bezeichnet werden können.
Idealerweise sind das lehrende Professoren an einer Universität/Hochschule oder in der Grundlagenforschung tätige Physiker, weil ich meine, dass nur dieser Personenkreis mir in plausiblen Antworten helfen kann, falls ich Denkfehler bei der Verfassung dieses Berichtes oder bei meinen Recherchen zur Relativitätstheorie und zur Quantenphysik, oder bei der Erstellung meiner Neuen Theorie begangen habe.
Natürlich kann dieser Bericht auch für einen anderen Personenkreis interessant sein, wenn Grundkenntnisse in der Physik vorhanden sind.
(2) Fast jeder Absatz beginnt mit einer fortlaufenden Absatz-Nummer, damit man besser auf mögliche Fehler reagieren kann.
(2.1) Ab Version 2.00 werden alle
Anmerkungen und Änderungen
in
Sub-Absätzen
unter dem entsprechenden Hauptabsatz mit
Sub-LaufNummern geführt.
Z.B: Sub-Absatz mit LaufNr. (2.1) unter Hauptabsatz mit der LaufNr. (2)
Sub-Absätze müssen nicht unbedingt mit dem Hauptabsatz thematisch zusammenhängen. Diese deuten im Wesentlichen darauf hin, dass sie in einer späteren Version eingefügt wurden.
.
(3) Ohne mein Schlüsselerlebnis und ohne die Wissbegierde, was denn ein Elektron tatsächlich zusammenhält, hätte ich wohl nie diesen Bericht verfasst und über die Themen zu diesem Bericht recherchiert.
(4) Während meiner Ausbildung zum Ingenieur (BULME Graz, Fachrichtung: Hochfrequenz- und Nachrichtentechnik, 1966) erklärte unser Physik-Professor (Thema: Atomphysik) unter anderem den Aufbau des Atoms und die Eigenschaften der Elementarteilchen.
Ein Mitschüler stellte dabei die folgende Frage:
Warum "zerbricht" das Elektron nicht ?
Das Elektron ist doch von allen Seiten von der eigenen negativen Ladung umgeben, - gleichpolarige Ladungen stoßen sich ab !
Welche Kraft hält das Elektron dennoch zusammen ?
Unser Professor meinte dazu: Eine überzeugende Antwort wisse er auch nicht. Es werde aber an der Beantwortung dieser Frage noch geforscht.
(5) Ein paar Jahre später war ich beruflich als Entwicklungsingenieur (Anwendung von passiven elektronischen Bauteilen) beschäftigt. Die intensive Beschäftigung mit Induktivitäten brachte mich möglicherweise auf die folgende Idee, die aber zu einem persönlichen Rückschlag führte.
(6) Wir stellen uns einen Stabmagneten vor, dessen magn. Nordpol oben und dessen magn. Südpol unten sei.
Die magnetischen Feldlinien verlaufen im Inneren des Magneten vom Süd- zum Nordpol und im äußeren Bereich vom Nord- zum Südpol.
Wird der Magnet jetzt so beschleunigt, dass er sich um seine eigene Achse (Südpol -> Nordpol) dreht, dann muss sich der Stabmagnet, je nach Drehrichtung, wie ein pos. bzw. negativ geladenes Objekt verhalten.
Ersetzt man jetzt (gedanklich) den Magneten durch ein ähnlich drehendes Magnetfeld, so könnte sich dieses Objekt wie ein Elektron bzw. Positron verhalten, wenn es auf ein sehr hohe Geschwindigkeit ( z.B. Lichtgeschwindigkeit ) beschleunigt wurde. Im dabei entstehenden elektrischen Feld ist dann die meiste Energie gespeichert. ( Siehe bewegtes magnetisches Feld)
(7) Ein Elektron könnte wie folgt aufgebaut sein:

(8) Ein Positron könnte wie folgt aufgebaut sein:

(9) Korrektur bei Anwendung der neuen Theorie:
Zusätzlich haben die Primärteilchen auch noch Energie im umgebenden Magnetfeld als kinetische Energie gespeichert, weil diese Teilchen sicherlich nicht auf der Erde entstanden sind, sondern irgendwo im Weltall und von dort bis zur Erde auf ihre Gewindigkeit v x beschleunigt wurden.
(10) Zu dieser Zeit kannte ich einen Arbeitskollegen, der Physik studiert hatte. Seine Meinung zu meiner Idee war für mich sehr enttäuschend:
Er meinte, dass meine Idee wohl nicht richtig sein könne, denn die Grundlagen der Physik seien mittlerweile ausgereift und in sich schlüssig. Relativitätstheorie und Quantenphysik bringen dafür die Beweise.
Und es sei auch bewiesen, dass Elektronen/Positronen bei einem radioaktiven Zerfall von Atomkernen spontan entstehen und nicht aus dem Atomkern kommen können.
(11) Eine Publizierung kam nach diesem Urteil für mich nicht in Frage. Statt dessen wollte ich selbst feststellen, weshalb meine Idee nicht richtig sein kann.
Ich kaufte unter anderem folgende Bücher:
"Grundlagen der Atomphysik"
und
"Die spezielle Relativitätstheorie"
und
"Die Welt der Elementarteilchen"
.
(12) Erst viele Jahre später begann ich zu überprüfen, ob sich Widersprüche ergeben, wenn man voraussetzt, dass die Elektronen tatsächlich nach meiner Idee aufgebaut sind.
Zu meiner Überraschung habe ich einige
Unstimmigkeiten
in der Theorie der
Atomphysik
und der
Relativitätstheorie
entdeckt.
Zusätzlich konnte ich
plausible Alternativen zur Lehrmeinung
darstellen.
(13) In diesem Abschnitt gebe ich einige bekannte grundlegende physikalische Erkenntnisse der
Lehrmeinung
wieder.
Die Aufzählung ist nicht komplett. Der Rest wird als bekanntes Fachwissen vorausgesetzt.
Der Zweck dieses Abschnittes ist es, um einerseits im weiteren Verlauf auf einzelne Positionen referenzieren zu können, andererseits um den Experten die Möglichkeit zu geben, auf wesentliche Fehler in diesem Abschnitt zu reagieren.
Überschneidungen mit meinen Überlegungen konnte ich nicht immer vermeiden.
(14) Es bedeuten:
(15) Der Gesamtimpuls eines abgeschlossenen Systems ist konstant.
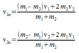
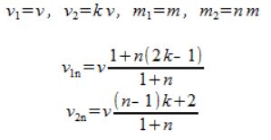
(16) Bei einem geraden elastischer Stoss zweier Massen verhalten sich die Geschwindigkeiten der beteiligten Massen nach dem Impulserhaltungssatz wie folgt:

Es bedeutet hier:
Die Summe der Geschwindigkeiten ist für jeden am Stoss beteiligten Körper gleich gross.
Für die Geschwindigkeiten nach einem Stoss ergeben sich

(17) Die folgenden Gleichungen in normierter Form:

(18) Das besondere an diesen Gesetzen ist, dass man für die Geschwindigkeiten ein beliebiges Bezugsystem wählen kann, so lange die Newtonschen Gesetze gültig sind.
(Einstein erklärt das mit seiner
Relativitätstheorie
)
Aber, wie erklärt sich der Energieaustausch bei einem elastischen Stoss ?
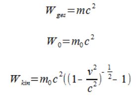
(19) Die 3 Newtonschen Gesetze ( 1687 ) sind:
(20) 1. Jede Masse ist träge.
Ohne fremde Krafteinwirkung verharrt sie in ihrer Geschwindigkeit und Richtung.
(21) 2. F = m.a
Wirkt auf eine sonst kräftefreie Masse eine Kraft, so wird sie propotional zu ihrer Masse beschleunigt. Die Beschleunigung hat die gleiche Richtung, wie die der Kraft.
(22) 3. Actio gleich Reaktio.
Wirkt auf einen Körper eine Kraft, so wirkt immer eine gleich große Gegenkraft entgegen.
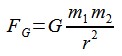
(23) Es wurde 1687 von Sir Isaac Newton aufgestellt:
2 Massen ziehen sich gemäß dem Newtonschen Gravitationsgesetz mit der Gravitationkraft an. Diese Kraft nimmt mit dem Quadrat der Entfernung der Massen zueinander ab.
Es bedeutet hier:

Aber wie erklärt sich die Gravitation ?
(24) Es wurde ca. 1785 von Charles Augustin de Coulomb entdeckt:
Mit der Coulombschen Kraft ziehen sich 2 ungleichpolige Ladungen an oder 2 gleichpolige Ladungen stoßen sich mit dieser Kraft ab. Die Coulombsche Kraft nimmt mit dem Quadrat der Entfernung der Ladungen zueinander ab.
Es bedeutet hier:

(25) Coulombsche Kraft, die auf eine elektrische Ladung in einem elektrischen Feld E einwirkt.

(26) Coulombsche Kraft, die auf ein Elektron in einem elektrischen Feld E einwirkt.

(27) 1820 hatte André-Marie Ampère das nach ihm benannte Gesetz entdeckt:
Fließt in einem Leiter ein elektrischer Strom, dann wird gleichzeitig ein den Leiter umgebendes Magnetfeld erzeugt.
Er stellte fest, dass sich eine Magnetnadel immer senkrecht zu einem stromdurchflossenen Leiter ausrichtet.
Ein elektrischer Strom entsteht, wenn sich Elektronen (oder andere Ladungsträger) vom einen Leiterende zu dem anderen Leiterende bewegen.
Die Bewegung der Elektronen ensteht, wenn ein äußeres elektrisches Feld auf die Elektronen eine Kraft (Anziehung oder Abstoßung) ausübt und somit den Elektronen eine Beschleunigung erteilt. Die Elektronen erhalten also kinetische Energie ( = Energie im entstehenden magnetischen Feld), die dem elektrischen Feld entzogen wird.
Als Bewegung ist hier die relative Bewegung der Elektronen zum positiv geladenen Atomrumpf zu sehen !
(28) Bewegt sich eine Ladung in einem magnetischen Feld dann wird die Ladung durch die Lorentzkraft seitlich nach der folgenden Formel abgelenkt.

(29) Bewegt sich ein Elektron oder Positron in einem magnetischen Feld dann wird das Elektron / Positron durch die Lorentzkraft seitlich nach der folgenden Formel abgelenkt.

Es bedeutet hier:
Der absolute Betrag der Geschwindigkeit ändert sich dabei nicht !
Eine Reaktion ( Eigenschaften von Feldern ) zwischen einem konstanten elektrischen Feld (ruhende elektrische Ladung) und einem konstanten magnetischen Feld, wurde noch nicht beobachtet !
(30) A.Einstein (SRT in der Einleitung) macht für die Lorenzkraft sein "Prinzip der Relativität" verantwortlich.
Ich bin nicht seiner Ansicht: (siehe Wie entsteht die Lorentzkraft ? )
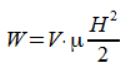
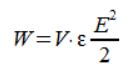
(31) Die magnetische Energie in einem gegebenen Volumen beträgt:

Es bedeutet hier:
(32) Magnetische Felder verhalten sich träge, weil sie Energie enthalten.
(33) Die elektrische Energie in einem gegebenen Volumen beträgt:

Es bedeutet hier:
(34) Elektrische Felder verhalten sich träge, weil sie Energie enthalten.
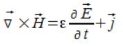
(35) Die Maxwell-Gleichungen sollen zusammen mit der Lorentzkraft die klassische Elektrodynamik erklären.
Es bedeuten hier:
(36) Durchflutungsgesetz:
Je dichter der Strom, desto stärker das umgebende, geschlossene Magnetfeld. ( Amperesches Gesetz )
Ähnlich wie bei dem Induktionsgesetz trägt auch eine Änderung des elektrischen Feldes zur Entstehung oder Erweiterung eines umgebenden, geschlossenen magnetischen Feldes bei.

(37) Induktionsgesetz, von Michael Faraday 1831 entdeckt:
Eine Änderung des magnetischen Feldes führt zur Entstehung eines umgebenden, geschlossenen elektrischen Feldes, das umso stärker ist, je grösser die Änderung des magnetischen Feldes ist.

(38) Gaußsche Gesetz für elektrische Felder:
Zwischen elektrischen Ladungen (Quellen oder Senken) existieren elektrische Felder.

(39) Gaußsche Gesetz für magnetische Felder:
Es gibt keine magnetischen Ladungen (Quellen oder Senken).

(40) In der Fachliteratur wird teilweise versucht, die Entstehung von elektrischen Feldern nur durch das Induktionsgesetz zu beschreiben. Dadurch kommt es zu
scheinbar paradoxen Effekten.
Kritik:
Diese Effekte mit Hilfe der
Relativitätstheorie
zu erklären finde ich auch
nicht überzeugend.
(41) Die Galilei-Transformation drückt in seinen Gleichungen die Beziehungen zwischen den 2 Bezugsystemen S(x,y,z,t) und S'(x',y',z',t') aus, die sich mit konstanter Geschwindigkeit auf der x-Achse voneinander entfernen oder einander zubewegen.
(42) In beiden Systemen wird der gleiche Vorgang zwar mit anderen Koordinaten, aber zur exakt gleichen Zeit und mit exakt gleichen Maßeinheiten beschrieben.




(43) Mit dem Michelson-Morley-Experiment 1881/87 (siehe dort) sollte die Relativgeschwindigkeit der Erde zu einem ruhenden Äther nachgewiesen werden. Diese müßte größer als die Bahngeschwindigkeit (ca. 30 km/s) der Erde um die Sonne sein und könnte mit dem Experiment von Michelson nachgwiesen werden.
(44) Im wesentlichen wurde in diesem Experiment ein bewegliches, rechtwinkeliges Kreuz verwendet, dessen Arme mit der X-Achse und der Y-Achse eines zugehörigen Koordinatensystems zusammenfiel. Die Z-Achse war drehbar gelagert. (Ein Kreuz schwimmend auf einem Quecksilberbad.)
Am Kreuzungspunkt(Ursprung) der X- und der Y-Achse befand sich ein halbdurchlässiger Spiegel Sph . Wenn nun ein Lichtstrahl von der
Lichtquelle Q (befand sich am linken Ende des Kreuzes auf der X-Achse)
auf den halbdurchlässigen Spiegel Sph traf, so wurde dieser so aufteilt, dass der reflektierte Teil rechtwinkelig in Richtung der Y-Achse auf den Spiegel Sp2y und der durchlässige Teil weiter in Richtung der X-Achse auf den Spiegel Sp1x traf.
Die reflektierten Strahlen von den Spiegeln Sp1x und Sp2y wurden am halbdurchlässigen Spiegel Sph wieder zusammengeführt und konnten am Teleskops T (befestigt am anderen Ende des Kreuzes auf der Y-Achse) betrachtet werden.
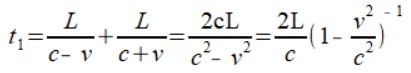
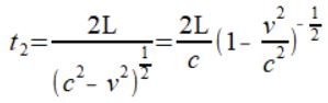
Die Abstände der Spiegel Sp1x und Sp2y waren gleich lang und hatten die Länge L .
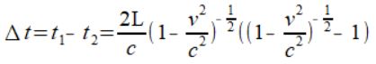
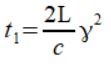
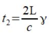
(45) Wenn, wie man damals vermutete, ein Äther existierte, so hätte man Intereferenzstreifen am Teleskop erkennen können, denn die Zeit t 1 die der Lichtstrahl auf der X-Achse für den Weg L (hin und zurück) benötigt, beträgt

und die Zeit t 2 die der Lichtstrahl auf der Y-Achse für den Weg L (hin und zurück) benötigt, beträgt

Die Differenz der beiden Zeiten t1 und t2 beträgt

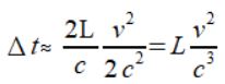
und mit v << c

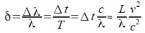
Bezieht man die Zeitdifferenz auf die Wellenlänge des Lichtes λ, so müßte man die Abweichung

als Interferenzstreifen am Teleskop erkennen können.
(46) Statt dessen wurden im Wesentlichen keine Interferenzstreifen festgestellt.
Das bedeutet, dass sich das Licht einer Lichtquelle in alle Richtungen mit der gleichen Geschwindigkeit ausbreitet.
(46.1) A.Einstein behauptet aber in seinem 2.Postulat , dass der Bewegungszustand der Lichtquelle keine Rolle spielt, was das Michelson-Morley-Experiment aber nicht bestätigt !
(47) Mehrere Physiker bemühten sich nun dieses unerwartete Ergebnis zu erklären. Unter anderen H.A.Lorentz mit seiner Kontraktionshypothese und A.Einstein mit seiner Speziellen Relativitätstheorie (Lehrmeinung).
(48) Es gibt aber auch eine alternative Erklärung für diesen Effekt.
Das Ergebnis des Michelson-Morley-Experiments läßt sich leicht erklären, wenn mann akzeptiert, dass sich das Licht von einer Quelle in alle Richtungen mit der konstanten Lichtgeschwindigkeit c, bezogen auf die Lichtquelle, ausbreitet.
(Siehe auch A.P.French:"3.6.3. Licht von einer bewegten Quelle" )
(49) Da mit Hilfe des Michelson-Morley-Experiments festgestellt wurde, dass sich das Licht in einem Bezugssystem in alle Richtungen mit der gleichen Geschwindigkeit ausbreitet und deshalb ein Ätherwind nicht nachgewiesen werden konnte, beschäftigten sich mehrere Physiker, ob es einen Effekt geben könnte, der den Nachweis eines Äthers unterdrücken könnte.
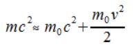
G.F.Fitzgerald (1889) und später H.A.Lorentz (1892) hatten die Kontraktionshypothese (French, Seite 61) erdacht, denn nimmt man an, dass alle Objekte bei Bewegung einer Kontraktion (Kontraktionshypothese nach H.A.Lorentz) unterliegen, so müßte man nur die bewegten Längen in Bewegungsrichtung durch diesen "Fehler-Kompensierungsfaktor" dividieren.
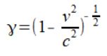
(50) Ein solcher Faktor (bekannt als Lorentzfaktor )

läßt sich leicht aus der Berechnung zum Michelson-Morley-Experiment erkennen, denn die Zeiten t 1 und t 2 kann man auch so schreiben:


Dividiert man die Länge L 0 eines ruhenden Objekts durch den Lorentzfaktors γ so erhält man die kontraktierte Länge L des bewegten Objekts in Bewegungsrichtung (auf der x-Achse).

(51) H.A.Lorentz (1892) hatte diesen Faktor in der 1. Gleichung der Lorentz-Transformation auf Basis der Äther-Theorie eingearbeitet.
(52) Um das negative Ergebnis des Michelson-Morley-Experiments zu erklären, versuchte H.A.Lorentz auf Basis der Galilei-Transformation , der Äthertheorie, der Kontraktionshypothese und des gefundenen Lorentzfaktors in mehreren Arbeiten (1892, 1895, 1899, 1904) eine plausible Theorie, zu entwickeln.
1904 veröffentlichte er diese Theorie, mit der die Lorentz-Transformation-Gleichungen bekannt wurden:




(53) Offensichtlich stellte er fest, dass die Zeiten bei einer Transformation nicht mehr, so wie bei einer Galilei-Transformation , konstant bleiben können, sondern wegen des Lorentzfaktors unterschiedlich sind. Er nannte deshalb die Zeit t' in seiner Arbeit(1895) Ortszeit, und die Zeit t nannte er allgemeine Zeit .
(54) Einstein kritisierte die Theorie nach Lorentz, da die Suche nach einem Äther erfolglos blieb. In seiner Relativitätstheorie postulierte er diese unterschiedlichen Zeiten als Zeitdilatation. Diese ergibt sich als Folge seiner (ungewohnten) Auslegung des Begriffes der Gleichzeitigkeit, wobei diese Auslegung wieder zu Kritiken der Einsteinschen Relativitätstheorie führt.
(55) Da die Lorentz-Transformation auf Basis der Äthertheorie beruhte, ein Äther aber nicht gefunden wurde, kam es zu mehreren Kritiken zu dieser Theorie, auch von A.Einstein.
Offensichtlich suchte A.Einstein nach einer anderen Theorie, also ohne Notwendigkeit eines Äthers, die aber zu den gleichen bekannten Transformationsgleichungen führten.
(56) A.Einstein postulierte im
1.Postulat das "Prinzip der Relativität" und im
2.Postulat, dass sich "das Licht im leeren Raume stets mit einer bestimmten, vom Bewegungszustande des emittierenden Körpers unabhängigen Geschwindigkeit V fortpflanze." (siehe Arbeit von 1905, in der Einleitung, "Zur Elektrodynamik ..." )
Mit diesen beiden Postulaten begründete Einstein seine Herleitung der Transformationsgleichungen.
(57) Auf Basis der so erhaltenen Transformationsgleichungen folgerte Einstein aber, dass es in jedem Inertialsystem eigene Maß- und Zeiteinheiten gäbe und das der Raum selbst die Längenkontraktion der Objekte und die Zeitdilatation der Uhren in Abhängigkeit der Relativgeschwindigkeit zwischen den Systemen bewirke und dies sei der eigentliche Grund für das negative Ergebnis des Michelson-Morley-Experiments .
(58) Auch Galileo Galilei (1632) und H.Poincaré erkannten vor Einstein " Das Prinzip der Relativität, nach dem die Gesetze der physikalischen Vorgänge für einen feststehenden Beobachter die gleichen sein sollen, wie für einen in gleichförmiger Translation fortbewegten, so daß wir gar kein Mittel haben oder haben können, zu unterscheiden, ob wir in einer derartigen Bewegung begriffen sind oder nicht." ( H.Poincaré, 1904 )
(59) Kritik: Die Relativitätstheorie wurde schon von mehreren Autoren kritisiert, vor allem wegen der von Einstein postulierten Zeitdilatation, die er mit seiner Auffassung des Begriffes der Gleichzeitigkeit begründete.
(60) Auch ich bin der Ansicht, dass die Relativitätstheorie auf
falsche Voraussetzungen beruht.
Trotzdem,
seine Schlussfolgerung zu seiner
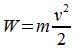
berühmten Formel
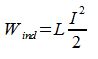
ist im Ergebnis richtig !
(61) A.Einstein kam in seiner 1905 veröffentlichten speziellen Relativitätstheorie im Ergebnis zu den gleichen Transformationgleichungen wie zuvor 1904 H.A.Lorentz auf Basis der Äther-Theorie, interpredierte diese aber anders.
Einstein benötigt für seine
Theorie 2 Postulate:
1. Das
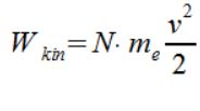
Prinzip der Relativität
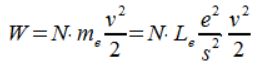
für alle physikalischen Koordinatensysteme (
Bezugssysteme
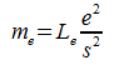
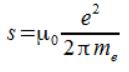
)
2. Die
Lichtgeschwindigkeit ist
im leeren Raum und in jedem Bezugssystem
immer gleich
und
unabhängig vom Bewegungszustand
des emittierenden Körpers.
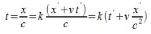
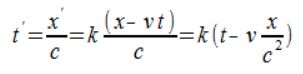
In §3 läst er den Lichtstrahl zuerst vom Bewegten System starten, verwendet aber die x'-Koordinaten vom Ruhenden System aus betrachtet.
Danach sein "Beweis": Er startet eine Kugelwelle im Ruhenden System, wenn beide Systeme zeitlich deckungsgleich sind, missachtet aber, dass sich beide Systeme um die Differenzgeschwindigkeit v unterscheiden.
Jetzt die Herleitung:
Gegeben seien
2
Inertialsysteme:
S und S'.
Beide Systeme sind fast genau gleich, unterscheiden sich nur dadurch, dass S' sich um die Differenzgeschwindigkeit v schneller im Raum in x-Richtung bewegt, als das ruhende System S.
In den ersten beiden Gleichungen ist die Ähnlichkeit mit der Galilei-Transformation leicht zu erkennen. Sie unterscheiden sich nur durch den Faktor k, welcher sich später als Lorentzfaktor herausstellen wird.
(a)

(b)

(61.1) Als Herleitung wurde eine vereinfachte Form, ähnlich wie bei A.P.French: Die spezielle Relativitätstheorie, 3.8. Die Lorentz-Einstein-Transformation, Seite 76 gewählt, weil bei A.Einsteins SRT die Fehler nicht so leicht erkennbar sind:
.
(62) Mit dem von Einstein geforderten 2. Postulat (in der Einleitung zur SRT ) von der Konstanz der Lichtgeschwindigkeit im leeren Raum, unabhängig vom Bewegungszustand des emittierenden Körpers, kommt man zu
(c) und (d)

gleichgültig, in welchem System der Lichtstrahl gestartet wurde !
(63) Kritik: Einstein muss auf das 2. Postulat bestehen, weil sich sonst (c) und (d) und in weiterer Folge (e) und (f) nicht begründen lassen !
Und nur so läßt sich auch der Lorentz-Faktor (i) mit der "Methode Einstein" berechnen.
Dass es dabei zu der folgenschweren Ungleichung kommt

wird missachtet.
Statt dessen wird damit die exakte Gleichzeitigkeit , wie sie in der Galilei-Transformation noch vorhanden war, aufgegeben.
Auch der Doppler-Effekt wäre nicht möglich, wenn Einsteins 2. Postulat richtig wäre !
(64) Werden die beiden Gleichungen (c) und (d) in die obigen eingesetzt, erhält man die nächsten beiden.
(e)

(f)

(65) Und durch Muliplikation beider Gleichungen die Nächste.
(g)

(66) Und nach Division durch tt' die folgende.
(h)

(67) Zieht man daraus die Wurzel, erhält man den Lorentz-Faktor
(i)

(68) Die nächsten beiden Gleichungen lassen sich durch Verwenden der ersten drei Gleichungen erstellen. Man sieht das t und t' nicht mehr gleich sind.
(j)

(k)

(69) Und durch Einsetzen des Lorentzfaktors erhält man schließlich die von Lorentz zuerst aufgestellten Transformationsgleichungen.
(70) Der Fehler, den A.Einstein durch Gleichsetzung der beiden Gleichungen (c) und (d) gemacht hat ist leicht zu erkennen, denn obwohl zur Zeit t = t' = 0 ein Lichtstrahl im Ursprung von S gestartet wird, und sich in S mit der bekannten Lichtgeschwindigkeit c ausbreitet, so muss die Geschwindigkeit mit der der Lichtstrahl beim Beobachter in S' ankommt um die Differenzgeschwindigkeit v beider Systeme größer oder kleiner sein. (siehe Doppler-Effekt )
Es gäbe auch keinen Doppler-Effekt, wenn Einsteins 2. Postulat richtig wäre.
(71)
1905 begründete A.Einstein
auf Basis seiner
SRT
die Massenzunahme in
Walter Kaufmanns Experimenten mit beschleunigten Elektronen
und kommt in der Folge zu seiner
berühmten Formel:
(E = Energie)

(72) Er interpredierte sie im folgenden Zitat (
A.Einstein, "Ist die Trägheit ..."
) :
"Die Masse eines Körpers ist ein Maß für dessen Energieinhalt."
(73)
Walter Kaufmann
hatte 1901 als erster die Zunahme der
elektromagnetischen Masse des Elektrons
in seinen Experimenten nachgewiesen.
Anfangs verglich er seine Messergebnisse mit den Formeln von
G.F.C.Searle,
und später von
M.Abraham.
Lorentz konnte in seiner Arbeit von 1904 : "Elektromagnetische Erscheinungen in einem System, das sich mit beliebiger, die des Lichtes nicht erreichender Geschwindigkeit bewegt" eine gleich gute Übereinstimmung, bei Verwendung des Lorentzfaktors, nachweisen.
Schließlich konnten später auch andere Physiker mit verbesserten Messmethoden dieses Ergebnis bestätigen.
Somit kann die Massenzunahme des Elektrons bei Erhöhung der Geschwindigkeit mit der folgenden
empirischen Massenformel
dargestellt werden:

(74) Auch Einsteins berühmte Formel von 1905 kann aus dieser empirischen Formel abgeleitet werden.
(75) Mit dem Sagnac-Effekt (siehe dort) sollte die Relativgeschwindigkeit zu einem ruhenden Äther nachgewiesen werden, war aber erfolglos.
(76) Mit dem Michelson-Gale-Experiment (siehe dort) sollte die Relativgeschwindigkeit zu einem ruhenden Äther nachgewiesen werden, war aber erfolglos.
(77) Es giebt viele Fotos, welche die Paarerzeugung von Elektron und Positron belegen. Beide Teilchen sollen gleichzeitig am Entstehungsort aus einem Photon entstehen.
Es ist aber auch möglich, dass sich ein Elektron-Positron-Paar durch das Auftreffen eines Lichtquants oder eines (unsichtbaren, neutralen) Sekundärteilchens auf ein anderes Sekundärteilchen von diesem abgespaltet ?
(78) In der Fachliteratur kann man lesen, dass Paarerzeugung auch von anderen geladenen Teilchen/Antiteilchen beobachtet worden ist. (Proton, Myon, Pion, ...)
(79) Ich habe bei meiner Recherche noch kein Foto von einer weiteren echten Paarerzeugung gesehen. Ich meine, solche Fotos, wo am Entstehungsort beide Teilchen (Teilchen + Antiteichen) zu erkennen sind und es sicher ist, dass sie nicht aus einem anderen Teilchen entstanden sein können, sondern aus einem energiereichen Gamma-Photon. Ich würde gerne solche Fotos (+ Berichte) sehen.
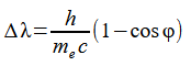
(80) Geändert: Bei einem Versuchsaufbau nach Compton trifft ein Röntgenstrahl auf eine Graphit-Probe. Die Messergebnisse zeigen (z.B.: Ulrich Gradmann / Hans Wolter, Seite 138, Fig.76b, Compton-Effekt an Graphit ), dass ein Teil des Röntgenstrahles von der Graphit-Probe rund um die Probe in den Raum mit der gleichen Wellenläge der Primärstrahlung reflektiert wird und ein weiterer Teil von der Probe kommend, von der Originalwellenlänge abweicht.
In der Lehrmeinung ( Quantenphysik ) wird angenommen, dass ein elastischer Stoß zwischen einem Röntgen-Photon und einem nahezu freien Elektron eines Kristall-Atomes statt findet.
Unter Verwendung des Impulssatzes und des Energieerhaltungssatzes findet man eine Formel nach der sich der Winkel der Sekundärstrahlung und die Sekundärwellenlänge berechnen lassen.

(81) Kritik: Ein elastischer Stoß zwischen einem Photon (als Teilchen ) und einem freien Elektron ist nicht haltbar, da die Winkelverteilung der Sekundärstrahlung nicht mit einem elastischen Stoß erklärbar ist.
Außerdem, wenn das Photon ein Teilchen wäre, dann müßte sich auch die Entstehung eines Wechselstromes beim Empfang einer elektromagnetische Welle mit Hilfe eines elastischen Stoßes auf die Leitungs-Elektronen der Antenne erklären lassen können !
(81.1) Eine mögliche Erklärung wäre ( geändert ): Ein Elektron wird von einem primären Energiequant vom Kristall im Inneren komplett gelöst, wird aber vom jetzt ionisierten Atom wieder angezogen (springt wieder zurück) und strahlt wieder ein Einergiequant ab, aber mit weniger Energie (und Frequenz), als das Primärquant, weil sich der ganze Vorgang wie ein Stoss mit dem Atom auswirkt und dabei Energie auf das Atom übertragen wird.
Außerdem wird ein Teil der kinetischen Energie des Elektrons benötigt, um das Elektron in Rotation zu versetzen, damit es ein Magnetfeld erhält, das das Elektron auf Abstand zum Kern hält. ( Wegen der coulombschen Anziehung zum Kern )
(82) Ernest Rutherford expermentierte ab 1909 mit Alpha-Strahlen (Helium-Atomkerne). Er stellte im Goldfolienexperiment fest, dass eine Goldfolie (ca. 0,5 µm dick) die Alpha-Strahlen bis auf wenige Ausnahmen, fast ungehindert durchlässt, die Elektronen aber nicht. Dies führte zu der Schlussfolgerung, dass fast die gesamte Masse der Atome im positiv geladenen Atomkern vorhanden sein muss und die negativ geladenen Elektronen den Atomkern umgeben müssen.
(83)
Zitat aus Wikipedia:
https://de.wikipedia.org/wiki/Rutherfordsches_Atommodell
am 8.2.2024
"Das rutherfordsche Atommodell von 1911 beschreibt erstmals das Atom als einen außerordentlich kleinen, positiv geladenen Atomkern, der fast die ganze Masse des Atoms besitzt, und von einer leichten Atomhülle aus negativ geladenen Elektronen umgeben ist. Das Atommodell wurde von Ernest Rutherford aufgestellt. Es überwand das 1904 aufgestellte thomsonsche Atommodell und wurde seinerseits 1913 weiter ausgestaltet zum Bohrschen Atommodell, mit dem die Energiestufen der Atomhülle erstmals erfolgreich beschrieben werden konnten. Damit bildet das rutherfordsche Atommodell die Grundlage für das heutige Bild vom Atom."
(84)
Zitat aus Wikipedia:
https://de.wikipedia.org/wiki/Bohrsches_Atommodell
am 21.4.2022
" Um Atome beschreiben zu können, die trotz kreisender Elektronen stabil sind, löste sich Bohr 1913 teilweise von der Gültigkeit der klassischen Mechanik und der Elektrodynamik. Er nahm an, dass es für Elektronen im Atom bestimmte Bahnen gibt, auf denen sie in stabiler Form den Kern umkreisen, ohne elektromagnetische Wellen zu erzeugen, und dass alle anderen Bahnen, die nach der klassischen Mechanik auch möglich wären, in der Natur nicht vorkommen. Strahlung gibt das Atom nur beim Übergang eines Elektrons von einer der erlaubten Bahnen in eine andere ab, wobei – wieder im Widerspruch zur Elektrodynamik – die Frequenz der erzeugten Welle direkt nichts mit den Frequenzen zu tun hat, mit denen das Elektron sich vorher oder hinterher im Kreis bewegt. Nur im Grenzfall sehr großer Bahnen, bei denen die Umlauffrequenzen sich nur sehr wenig unterscheiden, hat die Strahlung näherungsweise dieselbe Frequenz (siehe Korrespondenzprinzip ). Über den genaueren Ablauf dieses Quantensprungs können aber keinerlei weitere Aussagen gemacht werden. Bohr brach dabei auch mit dem bis dahin geltenden Lehrsatz natura non facit saltus („die Natur macht keine Sprünge“). Bei der Aufstellung dieser Grundsätze, mit denen Bohr eine brauchbare Erklärung der beobachteten Eigenschaften des Wasserstoffatoms erreichen wollte, ließ er sich insgesamt stark von seiner Intuition leiten."
(85) Das Bohrsche Atommodell wurde vom Bohr-Sommerfeldschen Atommodell abgelöst.
(86)
Zitate aus Wikipedia:
https://de.wikipedia.org/wiki/Bohr-sommerfeldsches_Atommodell
am 21.4.2022
"Das Bohr-Sommerfeldsche Atommodell hat wegen seiner Anschaulichkeit hohen Erklärungswert; statt der bisher im bohrschen Modell begründeten einzigen Quantenzahl der Elektronenzustände lieferte es richtig alle drei räumlichen Quantenzahlen und ermöglichte damit erstmals eine wenigstens qualitative physikalische Erklärung des Periodensystems der chemischen Elemente."
"Das Bohr-Sommerfeldsche Modell versagt aber wie schon das bohrsche Modell bei allen Berechnungen von Atomen mit mehr als einem Elektron. Dass dieser Fehlschlag von der irrigen Annahme definierter, klassischer Teilchenbahnen herrührte, wurde ab 1925 deutlich, als die neue Quantenmechanik wesentlich mehr Beobachtungen erklären und Vorhersagen machen konnte, und diese sogar zumeist quantitativ richtig. In ihr gibt es keine definierten Bahnen mehr, wie man z. B. an der heisenbergschen Unschärferelation erkennen kann, sondern nur noch Wahrscheinlichkeitsverteilungen. "
(86.1) Das Bohr-Sommerfeldsche Atommodell wurde von der Quantenmechanik abgelöst, bleibt aber in der Lehrbüchern !
(87)
Zitate aus Wikipedia:
https://de.wikipedia.org/wiki/Atomorbital
am 21.4.2022
"Ein Atomorbital ist in den quantenmechanischen Modellen der Atome die räumliche Wellenfunktion eines einzelnen Elektrons in einem quantenmechanischen Zustand, meist in einem stationären Zustand."
"Das Betragsquadrat [gemeint ist das Quadrat von der Lösung der Wellenfunktion] beschreibt als Dichtefunktion die räumliche Verteilung der Aufenthaltswahrscheinlichkeit, mit der das Elektron am Ort gefunden werden kann (bornsche Wahrscheinlichkeitsinterpretation der Quantenmechanik ). Zusammen mit der Angabe, ob der Spin zu einer festen Achse oder zum Bahndrehimpuls des Elektrons parallel oder antiparallel ausgerichtet ist, beschreibt ein Orbital den Elektronenzustand vollständig."
"Im Orbitalmodell für Atome mit mehreren Elektronen nimmt man an, dass die Elektronen sich unter Berücksichtigung des Pauli-Prinzips auf die Orbitale verteilen. Ein solcher Zustand heißt Elektronenkonfiguration und stellt oft eine brauchbare Näherung für die Struktur der Atomhülle dar, obwohl diese durch zusätzliche Elektronenkorrelationen noch komplizierter ist."
(88) Auch dieses Atommodell läßt sich nicht plausibel erklären.
Die neue Theorie zeigt eine plausible Erklärung, wie die Struktur der Atomhülle aussehen könnte.
(89) In der Quantentheorie bzw. der Quantenphysik vertritt die Lehrmeinung die folgende Auffassung von Quanten:
(90) Zitat aus: https://www.ds.mpg.de/203044/07 am 19.4.2022, Alexander Wolf, Max-Planck-Institut
" Viele Jahrhunderte konnte nicht geklärt werden, ob Licht eine Welle oder ein Teilchen ist, bis Thomas Young Anfang des 19. Jahrhunderts mit seinem berühmten Doppelspaltversuch zeigte, dass Licht die für Wellen typischen Überlagerungsmuster zeigt.
Damit schien die Frage geklärt zu sein, bis der Photoeffekt den Physikern den Kopf zerbrach: Durch Licht werden Elektronen aus Metalloberflächen gelöst, und das Seltsame daran war, dass es nicht von der Helligkeit des Lichts abhängt, ob ein Strom fließt, wie von einer Welle erwartet, sondern von der Farbe.
Albert Einstein löste das Problem, indem er ein ursprünglich rein theoretisches Konzept von Max Planck aufgriff, dass Licht in Paketen auftritt, wobei die Energie eines solchen Photons nur von der Wellenlänge, also der Farbe, abhängt.
Licht verhält sich also mal wie eine Welle und mal wie ein Teilchen ! ?
Spätestens nachdem gezeigt wurde, dass auch einzelne Elektronen wie Wellen mit sich selbst wechselwirken, war klar, dass dies ein universelles Paradoxon der Quantenwelt ist. Heute spricht man vom Welle-Teilchen-Dualismus, d. h. je nach Kontext verhält sich ein Quant wie eine Welle oder wie ein Teilchen. In der Quantenwelt gibt es noch viele andere seltsame Phänomene, die unserer makroskopischen Intuition widersprechen.
Die mathematischen Modelle und Theorien sind aber sehr erfolgreich und umfassen die Bausteine unserer Materie, wie Elektronen und Quarks, Teilchen, die elementare Kräfte vermitteln, wie Photonen und Gluonen, und selbst abstrakte kollektive Phänomene, wie Gitterschwingungen in einem Kristall, können als Quanten beschrieben werden."
(91) Nach meiner Recherche entstehen Lichtquanten nicht so, wie sie die Lehrmeinung vertritt.
(92)
Zitate aus Wikipedia:
https://de.wikipedia.org/wiki/Quantenmechanik
am 3.5.2022
"Die Quantenmechanik ist eine der Hauptsäulen der modernen Physik."
"Die Quantenmechanik unterscheidet sich nicht nur in ihrer mathematischen Struktur grundlegend von der klassischen Physik. Sie verwendet Begriffe und Konzepte, die sich der Anschaulichkeit entziehen und auch einigen Prinzipien widersprechen, die in der klassischen Physik als fundamental und selbstverständlich angesehen werden."
"Gemäß der instrumentalistischen Position stellt die Quantenmechanik, beziehungsweise ein auf ihrer Basis ausgearbeitetes Modell, keine Abbildung der Realität dar. Vielmehr handele es sich bei dieser Theorie lediglich um einen nützlichen mathematischen Formalismus, der sich als Werkzeug zur Berechnung von Messergebnissen bewährt hat."
(93) Die Quantenmechanik bietet also die Möglichkeit Meßergebnisse statistisch zu "erraten", aber nicht zu erklären.
(94)
Zitate aus Wikipedia:
https://de.wikipedia.org/wiki/Schrödingergleichung
am 3.5.2022
"Die Gleichung wurde 1926 von Erwin Schrödinger (1887 - 1961) zuerst als Wellengleichung aufgestellt und schon bei ihrer ersten Anwendung erfolgreich zur Erklärung der Spektren des Wasserstoffatoms genutzt."
"Die Schrödingergleichung bildet das Fundament für fast alle praktischen Anwendungen der Quantenmechanik. "
"Die Schrödingergleichung kann nicht aus der klassischen Physik hergeleitet werden, sondern ist ein Postulat. "
" In der statistischen Interpretation der Quantenmechanik (begründet von Max Born) gibt das Betragsquadrat (gemeint ist die Lösung der Schrödingergleichung) der Wellenfunktion die Aufenthaltswahrscheinlichkeitsdichte des Teilchens an."
"Die Schrödingergleichung ist deterministisch, das heißt, dass ihre Lösungen bei Vorgabe von Anfangsbedingungen eindeutig sind. Andererseits sind die Lösungen der Schrödingergleichung nach der
Kopenhagener Deutung statistische Größen,
aus denen nur Aussagen über die
Mittelwerte von Messergebnissen
in gleichartigen Versuchsanordnungen folgen.
Nach der Kopenhagener Deutung der Quantenmechanik liegt dies nicht an einem Mangel der Messanordnung, vielmehr ist dies
durch die Natur selbst bedingt.
"
(94.1) Die Schrödingergleichung unterstützt also in der Lehrmeinung die Quantenmechanik.
(95) Max PLanck kam auf Grund seiner Analyse der Wärmestrahlung von erhitzten Stoffen zu der wichtigen Erkenntnis (vorgetragen am 14.12.1900) , dass die elektromagnetische Energie einer Strahlung von allen Stoffen nur in Form von Energiequanten diverser Frequenzen in "Resonatoren" aufgenommen oder wieder abgestrahlt werden kann.
(96) ZITAT: "..., als der augenblickliche Mittelwert der Energien einer grossen Anzahl von gleichbeschaffenen Resonatoren, die sich im nämlichen stationären Strahlungsfelde weit genug entfernt voneinander befinden, um sich nicht gegenseitig direct zu beeinflussen. Da somit die Entropie eines Resonators durch die Art der gleichzeitigen Energieverteilung auf viele Resonatoren bedingt ist, ..."
(97) Die Energiequanten E sind proportinal zur Frequenz f und dem Planckschen Wirkungsquantum h und gehorchen der Formel

Jeder Resonator kann also nur die komplette Energiemenge von einem Energiequantum aufnehmen oder wieder abgeben.
(98) Dagegen behauptet Einstein in seiner Photonentheorie: (ist Lehrmeinung), dass Licht aus Energiequanten besteht ( Photonen als eigenständige Teilchen ohne Ruhemasse, also keine Energie in Resonatoren ! ) und deshalb nur in Quanten absorbiert oder emittiert werden kann.
(99) Frage: "Welche Objekte können sich wie Resonatoren verhalten ?"
Da nur die Elektronen in der Atomhülle vorhanden sind, kommen auch nur diese Objekte in Betracht.
(100) In der Einleitung von seinem
Bericht, 1905: "Über einen die Erzeugung ..."
kommt
Albert Einstein
zu der Auffassung, dass die Maxwellsche Theorie bei den rein elektromagnetischen Erscheinungen (Beugung, Reflexion, Brechung, Dispersion, usw.) gut funktioniert, aber
"..., daß die mit kontinuierlichen Raumfunktionen operierende Theorie des Lichtes zu
Widersprüchen
mit der Erfahrung führt, wenn man sie auf die Erscheinungen der
Lichterzeugung und Lichtverwandlung
anwendet."
Und weiter: " .. die Energie nicht kontinuierlich auf größer und größer werdende Räume verteilt, sondern es besteht dieselbe aus einer endlichen Zahl von in Raumpunkten lokalisierten Eneriequanten, welche sich bewegen, ohne sich zu teilen und nur als Ganze absorbiert und erzeugt werden können."
(101) "Über die Erzeugung von Kathodenstrahlen durch Belichtung fester Körper" kommt Einstein in seinem
Bericht (§8)
zu der folgenden Auffassung:
"In die oberflächliche Schicht des Körpers
dringen Energiequanten ein, und deren Energie verwandelt sich
wenigstens zum Teil in kinetische Energie von Elektronen."
(102) Der Vorgang im Detail:
(102.1) A.Einstein hat den Vorgang in eine Formel gefasst:

Ab einer minimalen Grenzfrequenz bekommt das Elektron soviel kinetische Energie, dass es die Atomhülle verlassen kann.
(103) Die Frage : "Was ist ein Lichtquant ?" und wie funktioniert der Photo-Effekt führt mich zu einer anderen Auffassung.
(103.1) 1814 entdeckte Joseph Fraunhofer , die nach ihm benannten dunklen Linien im Sonnenspektrum. 1802 wurden diese zuerst von William Hyde Wollaston beobachtet.
Im Plasma der Sonne wird zunächst ein kontinuierliches Spektrum erzeugt. Teile davon werden aber danach in der äußeren Sonnen-Photosphäre und der Erdatmosphäre durch Resonanzabsorption der Gase wieder herausgefiltert.
(103.2)
Zitat aus Wikipedia:
https://https://de.wikipedia.org/wiki/Plasma(Physik)
am 27.8.2025
"
Plasma
ist in der Physik ein Teilchengemisch aus Ionen, freien Elektronen und meist auch neutralen Atomen oder Molekülen. Ein Plasma enthält also freie Ladungsträger. Der Ionisationsgrad eines Plasmas kann weniger als 1 % betragen, aber auch 100 % (vollständige Ionisation). Eine wesentliche Eigenschaft von Plasmen ist ihre elektrische Leitfähigkeit.
" usw., siehe dort.
In einem Plasma entstehen Lichtquanten auf Grund von Stößen der Elektronen mit den Atomen oder Atomresten oder von Sprüngen ( Quantensprüngen ) der Elektronen von einer äußeren Elektron-Schale auf eine innere.
(104) Das Positronium besteht aus aus einem Elektron und einem Positron. Es ist dem Wasserstoffatom ähnlich, bei dem das Proton durch ein Positron ersetzt ist.
Der Abstand zwischen den beiden Teilchen Positron/Elektron bzw. Proton/Elektron ist beim Positronium doppelt so gross wie beim Wasserstoffatom.
Ein Positronium-Ion besteht aus einem zusätzlichen Elektron. Es zefällt in 0,4787 ns
Nach der Lehrmeinung wird zwischen dem Orthopositronium (gleichgerichtete Spins) und dem Parapositronium (entgegengerichtete Spins) unterschieden, wobei beide Typen nach unterschiedlichen Zeiten vollkommen zerstrahlen (Parapositronium nach 0,125 ns und Orthopositronium nach 142 ns)
(105) Nach der neuen Theorie entsteht immer ein Positronium, wobei nur ein Teil der Energie als elektromagnetische Strahlung (2 Energiequanten) abgegeben wird. Der Rest verbleibt als Energie in den umhüllenden magnetischen Feldern der beiden rotierenden Teilchen. Diese halten die beiden Teilchen auf Abstand.
(106) Im Jahr 1924 postulierte Louis de Broglie mit der Formel für den Impuls p = h / λ , dass auch massebehaftete Teilchen einen Wellencharakter besitzen müssen.
(107) Das Davisson-Germer-Experiment von 1927 und das Doppelspaltexperiment 1959 von Claus Jönsson werden in der Lehrmeinung als Beweis für den Welle-Teilchen-Dualismus angesehen.
Eine genaue Analyse zeigt aber, dass beide Experimente falsch interpretiert wurden.
(108) Das Doppelspaltexperiment wurde 1802 von Thomas Young erstmals durchgeführt, um die Wellennatur des Lichtes zu beweisen. (siehe 1. Bild )
(109) Claus Jönsson konnte 1959 im Rahmen seiner Dissertation bei Gottfried Möllenstedt an der Universität Tübingen erstmals bei einem Experiment von Elektronen am Doppelspalt beobachten (siehe 2. bis 5. Bild ), dass die auf einen Bildschirm auftreffenden Elektronen, welche durch einen Doppelspalt geschossen wurden, sich in einem wellenförmigen Muster verteilen.
(110) Kritik: Dieser Effekt wird in der Quantentheorie als Beweis für den Welle-Teilchen-Dualismus angesehen.
(111) Eine voreilige Schlußfolgerung, denn es wird dabei übersehen, dass beim Experiment von Thomas Young durch die Überlagerung der beiden Lichtstrahlen die Intensität der Feldstärke beeinflußt wird und es deshalb zu dem Interferenzmuster kommt.
(112) Im Experiment von Claus Jönsson kommt es zu einer Ablenkung der Elektronen normal zur Flugrichtung der Elektronen in den beiden Elektronenstrahlen, die dadurch entsteht, dass einerseits das elektrische Feld der Elektronen eine abstoßende Kraft zueinander bewirkt, aber anderseits den beschleunigten Elektronen ein Magnetfeld umgibt, das eine Anziehung zueinander bewirkt.
Es entsteht also ein elektromagnetisches Wechselfeld, das für die Dichteverteilung der Elektronen verantwortlich ist, wie man am Bildschirm sehen kann.
(113) Beim Davisson-Germer-Experiment von 1927 kommt es zu einem ähnlichen Effekt durch die Streuung der Elektronen nach dem Aufprall auf den Kristall.
(113.1) Im Franck-Hertz-Versuch (siehe dort) wird an einer Elektronen-Röhre, in der auch Quecksilber-Gas (-Dampf) vorhanden ist, beobachtet, wie sich der Strom bei angelegter Spannung verhält. Es zeigt sich, dass der Anodenstrom bis ca. 4,9 Volt ansteigt und dann plötzlich absinkt. Gleichzeitig zeigt sich auch, dass eine ultra-violette Strahlung in der Nähe der Anode ausgesendet wird.
Wird die Spannung weiter erhöht, dann steigt auch wieder der Strom bis er bei ca. 2 * 4,9 Volt wieder absinkt. Und es zeigt sich ein weiterer ultra-violetter Lichtfleck in der Nähe der Anode.
Der Effekt wiederholt sich bei weiterer Erhöhung der Spannung.
In der Lehrmeinung wird angenommen, dass Elektronen, aus der Glühkathode kommend, im elektrischen Feld zwischen Kathode und Anode beschleunigt werden. Obwohl diese auch elastische Stöße an den Hg-Atomen durchführen, werden sie wegen des großen Massenunterschiedes kaum kinetische Energie abgeben. Ab einer kinetischen Energie von 4,9 eV geben die Elektronen diese Energie in Form eines unelastischen Stoßes an die Hg-Atome ab und versetzen diese Atome in einen angeregten Zustand. Es folgt ein Quantensprung, bei dem das Atom ein Photon mit einer Energie von 4,9 eV abstrahlt.
Zusammenfassend zeigen also die Versuche, dass in Atomen Energieaufnahme und -abgabe nur in Form diskreter Energiepakete (Quanten) erfolgen kann.
Mit dieser Deutung der atomaren Vorgänge wird also die Quantenhypothese von Max Planck bestätigt und auch für Niels Bohr war sie ein Beweis für die diskreten Energieniveaus in den Atomen, so wie er sie schon 1913 in seinen Postulaten theoretisch gefordert hatte.
Kritik: Nur wenn die externen Elektronen eine kinetische Energie von weniger als 4,9 eV haben, werden sie von der Elektronenhülle des Hg-Atoms abgestoßen (elastischer Stoß).
Ist die Energie eines Elektrones größer als 4,9 eV, dann findet es eine Lücke zwischen den äußeren Elektronen des Hg-Atoms und wird in weiterer Folge zwischen den äußeren Elektronen und den nächst inneren Elektronen auf eine Spiralbahn gezwungen, auf der es den Großteil seiner kinetischen Energie durch Abstrahlung eines Energiequants verliert. ( Ein ähnlicher Vorgang, wie bei der Entstehung eines H-Atoms )
Das nun negativ ionisierte Hg-Atom wird in weiterer Folge ein Elektron verlieren. Dieses kann den Weg mit verminderte Geschwindigkeit zu der Anode fortsetzen bis es wieder eine Energie von 4,9 eV erreicht hat, - ...
(114) In diesem Teil versuche ich auf einige Unstimmigkeiten in der offiziellen Lehre zur Atomphysik hinzuweisen. Diese sind mir vor allem bei meinen Recherchen zur Relativitätstheorie und zur Quantentheorie aufgefallen.
Wo es nötig war, versuchte ich diese durch logisch plausible Überlegungen zu ersetzen.
Mit der neuen Theorie werden diese beiden Theorien obsolet.
(115) Dies ist meine Vorstellung von Physik:
Physik ist die Wissenschaft über alle
real existierenden Objekte
in einem sonst
leeren Raum.
Sie ist die Basiswissenschaft aller Naturwissenschaften.
Zu diesen
Objekten
gehören nach der
neuen Theorie
alle Elementarteilchen mit einer
nachweisbaren Ruhemasse
und jene Objekte, welche aus diesen Teilchen zusammengesetzt sind.
Auch die
elektrischen und magnetischen Felder
und jene Felder, welche aus diesen bestehen, gehören zu diesen Objekten.
Zu den Eigenschaften dieser Objekte gehören die abstrakten Begriffe , wie Länge und Zeit, bzw. deren Abmessungen, sowie deren Abstände und Geschwindigkeiten im Raum zueinander, usw.
All diese Objekte haben Energieinhalte.
Der leere Raum selbst ist ein absolutes Nichts und gehört nicht zu diesen reellen Objekten.
In diesem Raum, also in unserem Universum, sind all diese Objekte vorhanden. Sie sind auch alle von elektromagnetischer Natur.
Mit dieser Auffassung distanziere ich mich von der in §1 im Einsteinschen Bericht "Zur Elektrodynamik ..." wiedergegebenen Definition der Zeit.
(116) Im Bericht von H.Poincaré: Der gegenwärtige Zustand ... wurde die damalige Lehrmeinung zu den Grundprinzipen der Physik um 1904 wiedergegeben,
Zitat: "
"
(117) Ein weiteres Grundprinzip, ohne das ein sinnvolles Betreiben der Physik unmöglich wäre, ist die Voraussetzung, dass alle physikalischen Vorgänge immer logisch und konsequent ablaufen. ( Determinismus )
(118) Mathematische Methoden kann man ebenfalls als eine Abfolge von logischen Grundschritten betrachten. Der Unterschied zur Physik ist, dass in der theoretischen (abstrakten) Mathematik alle relevanten Eingangs-Parameter bekannt sind, bevor man eine mathematische Methode anwendet.
In der Physik kennt man nicht immer alle Eingangs-Parameter, welche das Ergebnis beeinflussen können.
(119) Als Naturgesetze kann man nachweisbare Regelmäßigkeiten bezeichnen, die sich unter bestimmten Bedingungen immer in gleicher Weise vollziehen. Meist lassen sie sich in einer Formel darstellen.
(120) In einem abgeschlossenen System ist die Gesamtenergie konstant, kann sich also nicht mit der Zeit ändern. (Satz von der Erhaltung der Energie: Robert Mayer, 1842 )
(121) Wenn Energie in einem elektrischen Feld zu- oder abnimmt, dann muss zum Ausgleich am selben Ort und zur selben Zeit die Energie in einem magnetischen Feld ab- oder zunehmen.
(122) In einem nicht abgeschlossenen System ist es aber möglich zusätzliche Energie Δ W einzuführen oder Energie aus dem System auszuführen.

(123) Man kann also Energie vom einen Ort zu einem anderen Ort transportieren.
(124) Es muss Determinismus geben, da es sonst keine Naturgesetze geben kann. Determinismus und Indeterminismus können aber nicht nebeneinander existieren. Indeterminismus wird von der Quantentheorie postuliert, - ein Problem !
(125) In der Mathematik kennen wir verschiedene Koordinatensysteme, davon ist das kartesische das wichtigste. All diese Koordinatensysteme sind abstrakt. Deshalb können wir jedem reellen Raumpunkt zu jeder Zeit ein solches abstraktes Koordinatensystem zuweisen.
(126) Befindet sich an einem solchen Raumpunkt ein real existierendes, materielles Objekt, dann ist das zugehörige (abstrakte) Koordinatensystem mit einem Bezugssystem identisch.
(127) Ein Inertialsystem ist ein Bezugssystem, das von keiner Kraft beschleunigt wird, also ein Idealfall.
-> Bezugssysteme können also von Kräften beschleunigt werden. Die Gravitation kann solche Kräfte an ladungsneutralen Bezugssystemen bewirken, - deshalb müssen solche Bezugssysteme mit einem masseähnlichen Objekt identisch sein !
(128) A.Einstein beschreibt in seinen Berichten von 1905 und 1907 für das "Prinzip der Relativität" Koordinatensysteme (Bezugssysteme), welche den Eigenschaften von Inertialsystemen entsprechen.
Einstein behauptet, dass in jedem Bezugssystem die Lichtgeschwindigkeit immer und überall im leeren Raum die konstante Lichtgeschwindigkeit c ist, egal mit welcher Geschwindigkeit sich die Lichtquelle bewegt.
(129) Die Lehrmeinung geht von der Einsteinschen Relativitätstheorie aus, in der ein 4-dimensionales, raum-zeitliches Bezugssystem existieren soll, von dem es aber keine Beweise gibt.
(130) Masseähnliche Objekte benötigen auch kein 4-dimensionales (raum-zeitliches) Bezugssystem, sondern es genügt ein 3-dimensionaler Raum, in dem sie sich bewegen können.
Und die exakte Lichtgeschwindigkeit wurde bisher auch nur gemessen, wenn die Differenzgeschwindigkeit zwischen Lichtquelle und Lichtempfänger null war !
(131) Wir alle werden ständig von diesem Relativitäts-Effekt durch die Naturgesetze beeinflußt, egal ob wir irgendwo in der Natur, im fahrenden Auto oder im fliegenden Flugzeug stehen oder sitzen. H.Poincaré hat diesen Effekt in seinem Bericht von 1904 "Der gegenwärtige Zustand ..." " Prinzip der Relativität " genannt und beschrieben.
Eine Erklärung für diesen Effekt konnten weder H.Poincaré mit seiner Äthertheorie noch A.Einstein 1905 mit seiner Relativitätstheorie geben.
(132) Nach der Neuen Theorie befinden wir uns dabei in einem einzigen, 3-dimensionalen (Welt-)Raum. Je nachdem mit welcher Geschwindigkeit wir uns gerade in diesem Raum zueinander bewegen, haben wir als Körper eine unterschiedliche Energie/Masse im Raum.
Wenn wir also in unserem Garten auf einem Stuhl (ruhend) sitzen, später in unserem, mit konstanter Geschwindigkeit fahrenden Auto (ruhend) sitzen, so haben wir auf Grund der kinetischen Energie, die unser Auto uns zugefügt hat, Masse (Energie) zugenommen.
Diese Energie ist aber so gering, so dass wir die Energie-(Masse-)zunahme in der Regel nicht bemerken.
Weder H.Poincaré noch A.Einstein haben diese Energie-(Masse-)zunahme beim "Prinzip der Relativität" erkannt. Sie ist weder in den Lorentz- noch in den Einstein-Transformations-Gleichungen enthalten !
(133) Meist bestehen Transformatoren aus einer Spule, auf der eine Primärwicklung (ein stromleitender Draht, Leiter genannt) und darauf eine Sekundärwicklung aufgebracht ist. Die Spule umschließt in der Regel einen magnetisierbaren Kern, der einen geschlossenen Magnetfluß ermöglicht. Die Sekundärwicklung kann auch getrennt auf einer 2. Spule sein, wenn diese auch den Magnetfluß umschließt, den die Primärwicklung erzeugt.
Transformatoren werden zur Übersetzung von Strom und Spannung bei der Energieübertragung benötigt.
Der Kern kann auch weggelassen werden, das hat aber dann einen geringeren Wirkungsgrad bei der Energieübertragung zur Folge.
(134) Wird die Sekundärwicklung weggelassen, dann handelt es sich um eine Induktiviät , auch Drossel genannt.
(135) Die Funktionsweise ist wie folgt:
An die Primärwicklung wird eine sinusförmige Wechselspannung (Primärspannung) angelegt. Im Inneren der Primärwicklung (des Leiters) entsteht ein elektrisches, primäres Wechselfeld mit gleicher Phase zur Primärspannung.
Die
Leitungselektronen
werden durch das
primäre elektrische Wechselfed
vom Atomrumpf (Atomkern und Restelektronen) weggezogen, also in die eine Richtung bis zur Geschwindigkeit +v beschleunigt (
1. Sinusquadrant des Primärstromes
), dann verzögert auf 0 (2. Sinusquadrant), dann in die andere Richtung bis zur Geschwindigkeit -v beschleunigt (3. Sinusquadrant) und dann wieder verzögert auf 0 (4. Sinusquadrant).
Es entsteht ein
sinusförmiger Primärstrom mit 90° Verzögerung
gegenüber der
Primärspannung
.
Bei diesem Vorgang wird Energie dem elektrischen Primärfeld entzogen und den beteiligten Leitungselektronen in Form von kinetischer Energie im 1. und 3. Sinusquadranten des Primärstromes zugeführt und im 2. und 4. Sinusquadranten des Primärstromes wird den Leitungselektronen, wegen der Abnahme der Geschwindigkeit, kinetische Energie entzogen und dem Primärnetz wieder zugeführt ( siehe Blindstrom ).
Kinetische Energie ist aber magnetische Energie im magnetischen Feld , das von den Spulen umschlossen ist. Es tritt als magnetischer Wechselfluss im magnetisierbaren Kern in Erscheinung und ist in gleicher Phase wie der sinusförmige Primärstrom . ( Durchflutungsgesetz der Maxwellschen Gleichungen )
(136) Da mit dem sinusförmigen Primärstrom auch der magnetische Wechselfluss und somit auch die kinetische Energie der Leitungselektronen schwankt, muss zum Ausgleich die Differenzenergie in anderer Form ( Energieerhaltungssatz ) in Erscheinung treten und zwar in Form von elektrischer Energie in einem elektrischen Feld, das den magnetischen Fluss umschließt. Dieses Feld führt zu der bekannten Selbstinduktionsspannung , die der Primärspannung entgegengerichtet ist. ( Induktionsgesetz der Maxwellschen Gleichungen )
(137) Transformatoren funktionieren auch, wenn der Wechselstrom nicht sinusförmig ist, z.B. sägezahnförmig.
(138) Wird ein elektrisches Feld normal zur Richtung seiner Feldstärke von einem Ort auf die Geschwindigkeit v E beschleunigt, so erzeugt es ein magnetisches Feld nach der Formel:

Im magnetischen Feld wird Energie gespeichert, das jenem Feld entzogen wird, das für die Beschleunigung verantwortlich ist.
Es bedeutet hier:
Als Ort ist hier jener Raumpunkt zu verstehen, von dem aus das elektrische Feld E auf die relative Geschwindigkeit v E beschleunigt wurde.
Die Energie des erzeugten magnetischen Feldes (Feldstärke H) entspricht der kinetischen Energie des trägen bewegten elektrischen Feldes.
Mit diesem Grundsatz kann die Funktionsweise des Amperesches Gesetzes erklärt werden.
(139) Wird ein magnetisches Feld normal zur Richtung seiner Feldstärke von einem Ort auf die Geschwindigkeit v H beschleunigt, so erzeugt es ein elektrisches Feld nach der Formel:

Im elektrischen Feld wird Energie gespeichert, das jenem Feld entzogen wird, das für die Beschleunigung verantwortlich ist.
Es bedeutet hier:
Als Ort ist hier jener Raumpunkt zu verstehen, von dem aus das magnetische Feld H auf die relative Geschwindigkeit v H beschleunigt wurde.
Die Energie des erzeugten elektrischen Feldes (Feldstärke E) entspricht der kinetischen Energie des trägen bewegten magnetischen Feldes, wie das auch im umgekehrten Fall bereits nachgewiesen ist.
(140) Technisch lassen sich elektromagnetische Wellen mit Hilfe eines Oszillators erzeugen. Dieser besteht aus einem Schwingkreis (Induktivität und Kapazität) und einem negativen Widerstand oder Verstärker.
Im Schwingkreis fließt Strom wechselnd zwischen der Induktivität und der Kapazität mit einer bestimmbaren Frequenz hin und her. In der Regel sind es die Elektronen, die als Wechselstrom hin und her bewegt werden, wobei elektrische und magnetische Energie, wie bei einem Transformator ständig ausgetauscht werden.
Werden Primär- und Sekundärwicklung bei einem Transformator ohne magnetischen Kern nur in losem Abstand zueinander betrieben, dann kann man die Primärwicklung als Sender und die Sekundärwicklung als Empfänger betrachten.
(141) Jedes Elektron/Positron(Sender), das sich in einem bestimmten Abstand zu einem weiteren Elektron/Positron(Empfänger) befindet, sich aber periodisch am Senderort hin und her bewegt, sendet elektromagnetische Wellen aus, weil sich der Abstand zwischen Sender und Empfänger und damit auch die Feldstärke am Empfangsort ständig ändert.
(142) Bei diesem Vorgang werden Felder samt ihrem Energieinhalt vom Sender weggeschleudert (in den Raum abgestrahlt) und von Empfänger-Elektronen/-Positronen (wo vorhanden) aufgenommen und diese in ihrer Bewegungsrichtung und -geschwindigkeit beeinflußt.
Die dazu benötigte Energie wird der Bewegungsenergie der Sende-Elektronen/-Positronen entzogen ( Energieerhaltungssatz ).
(142.1) Zu einer Abtrennung des elektrischen Feldes kommt es deshalb, weil sich das elektrische Feld von einem Primärteilchen nur mit der bekannten konstanten Lichtgeschwindigkeit ausbreitet, aber der Abstand zwischen Sender und Empfänger sich periodisch ändert und damit auch die Feldstärke.
(143) Eine Quantisierung der Ladung gibt es deshalb, weil jede Masse, einschließlich der sekundären Elementarteilchen aus den primären Elementarteilchen bestehen.
(144) Einstein kam am Ende von §2 seiner Relativitätstheorie (eingereicht am 30. Juni 1905) zu der Schlussfolgerung "Wir sehen also, dass wir dem Begriffe der Gleichzeitigkeit keine absolute Bedeutung beimessen dürfen, ... " und erklärt damit den exakten Gleichzeitigkeitsbegriff für obsolet.
Auch H.A.Lorentz kam in seinen Arbeiten zur Lorentz-Transformation zu einer ähnlichen Anschauung, die er Ortszeit nannte.
Zur Einsteinschen Auslegung des Gleichzeitigkeitbegriffes (oder Ortszeit) und der Zeitdilatation kommt es also wegen des Lorentzfaktors in den Transformationsgleichungen.
Wo liegt der Denkfehler ?
In der Einleitung seiner SRT postulierte Einstein sein "Prinzip der Relativität" und: " ..., dass sich das Licht im leeren Raume stets mit einer bestimmten, vom Bewegungszustande des emittierenden Körpers unabhängigen Geschwindigkeit V fortpflanze. " (Siehe auch A.P.French:"3.6.3. Licht von einer bewegten Quelle" )
Zu dieser Zeit war man der Ansicht, dass nur eine
Korpuskulartheorie
quellenabhängige Lichtgeschwindigkeit ermögliche (Korpuskel haben Masse und Trägheit, die Geschwindigkeit ist deshalb von der Quelle abhängig).
Diese wurde aber zugunsten der
Wellentheorie
ausgeschlossen (Wellen haben keine Masse und keine Trägheit, deshalb soll die Geschwindigkeit des Lichtes von der Lichtquelle unabhängig sein).
Ein schwerwiegender Irrtum !
(145) Bei der im
Bericht von A.Einstein
aufgestellten Behauptung, §2:
"Wir sehen also, dass wir dem Begriffe der
Gleichzeitigkeit
keine absolute Bedeutung bemessen dürfen, ..." kommt Einstein
deshalb zu unterschiedlichen Ergebnissen der Zeit,
weil
wegen der Bewegung des Stabes
im Fall
b)
die beiden Lichtwege A-B und B-A nicht mehr gleich lang sind !
Und der Stab selbst hat natürlich seine Länge nicht verändert.
Im §3 schreibt A.Einstein:
"Wir haben nun zu beweisen, ..." und will damit beweisen,
dass der Lichtstrahl, der zur Zeit t = τ = 0 im ruhenden System gestartet wurde sich im bewegten System mit der gleichen Geschwindigkeit (bezogen auf das bewegte System) ausbeitet, wie das Licht im ruhenden System.
Die
Differenzgeschwindigkeit
beider Systeme hat A.Einstein fehlerhafterweise nicht berücksichtigt !
Damit wird auch der bekannte
Doppler-Effekt
unmöglich !
Nur wenn in jedem Ursprung der beiden Systeme ein eigener Lichtstrahl ausgeht stimmem die beiden Formeln.
(146) In einem weiteren am 27. Sept. 1905 eingereichten Bericht "Ist die Trägheit eines Körpers von seinem Energieinhalt abhängig ?" hatte aber Einstein erkannt, dass Masse und Energie als äquivalent zu betrachten sind und deshalb die Strahlungsenergie in den elektromagnetischen Feldern (Wellentheorie) des Lichtes auch masseähnliche Eigenschaften habe.
Hätte also Einstein die Lichtgeschwindigkeit in Abhängigkeit von einer im Bezugssystem ruhenden Quelle und ruhenden Empfänger postuliert, dann wäre es leicht erklärbar geworden, weshalb man in allen Bezugssystemen immer ( egal in welche Richtung ) die gleiche Lichtgeschwindigkeit misst.
Dann wäre aber Einsteins 2. Postulat obsolet geworden und Einstein hätte nicht seine Herleitung der Lorentz-Transformation begründen können und es wäre offensichtlich geworden, dass Einsteins SRT falsch ist !
(147) Auf Grund von Walter Kaufmanns Experimenten kann die Massenzunahme des Elektrons bei hohen Geschwindigkeiten durch die folgende empirische Massenformel

dargestellt werden.
Bei Geschwindigkeiten deutlich unter der Lichtgeschwindigkeit kann diese Formel wie folgt vereinfacht werden:

Multipliziert man jetzt die Gleichung mit c 2 ,

dann erkennt man auf der rechten Seite der Gleichung, dass der rechte Term mit der bekannten kinetischen Energie W kin identisch ist.
Folglich müssen die beiden anderen Terme ebenfalls Energie darstellen:
Und zwar muss die linke Seite der Gleichung die
Gesamtenergie W
ges
und der linke Term auf der rechten Seite die
Ruheenergie W
0
darstellen.

(148) Und unter Verwendung der obigen empirischen Massenformel nach Kaufmann ergibt sich die folgende Energiezusammensetzung, die mit der Einsteinschen Energieauffassung identisch ist.

(149) Auch der Energieerhaltungssatz und die Trägheit einer Masse lassen diese Schlussfolgerung zu.

Denn ersetzt man den Energiezuwachs durch die kinetische Energie der Masse m
0
,
also Δ W = m
0
* v
2
/ 2 , dann kann man aus formalen Gründen
W
0
durch m
0
* c
2
und W
ges
durch m * c
2
ersetzen.
c
2
wäre dabei eine Konstante, ohne zu wissen, dass sich c als Lichtgeschwindigkeit herausstellen wird.
(150) Nachdem Walter Kaufmann in seinen Experimenten die Massenzunahme von Elektronen bei hohen Geschwindigkeiten nachgewiesen hatte, sah darin auch A.Einstein einen Beweis für seine berühmte Formel, die er auf Basis seiner Relativitätstheorie abgeleitet hatte.
(151) Die Lehrmeinung spricht deshalb in diesem Zusammhang von einer "relativistischen Massenzunahme" .
(152) Da ich aber in diesem Bericht davon aus gehe, dass Einsteins Relativitätstheorie nicht stimmen kann, schlage ich vor, Walter Kaufmanns Entdeckung als "Kaufmann-Effekt" zu bezeichnen.
(153) Seit A.Einstein seine berühmte Formel postuliert und richtig erkannt hat, dass Masse und Energie einander äquivalent sind, kann man daraus auch schließen, dass Masse aus Energie besteht.
(154) Leider postulierte Louis-Victor de Broglie 1923 daraus seinen Welle-Teilchen-Dualismus der zu der Vorstellung führt, dass Materie auch als Welle aufgefasst werden kann. (Materiewellen)
(155) Aus den Konsequenzen zur Erkenntnis über die kinetischen Energie läßt sich schließen, dass Materie, die eine Ruhemasse besitzt, aus primären Elementarteilchen besteht.
(156) Mit großer Wahrscheinlichkeit sind die primären Elementarteilchen aus elektrischen und magnetischen Feldern (in konzentrierter Form) bzw. dessen Energie entstanden, da elektromagnetische Wellen sich auch aus der relativen Bewegung dieser Teilchen von diesen trennen.
(157) Die elektrischen und die magnetischen Felder sind die einzigen beiden Arten von Feldern, die in der Natur vorkommen.
(158) Gravitation, Kernkraft und andere Arten von Feldern lassen sich als Sonderfälle dieser beiden Feldarten erklären !
(159) Weitere gemeinsame Eigenschaften:
(160) Die Lehrmeinung macht für die Entstehung der Lorentzkraft das "Prinzip der Relativität" nach A.Einstein (SRT in der Einleitung) verantwortlich.
(161) Am Beispiel des magnetisch ablenkbaren Elektronenstrahles in einer Fernsehröhre (Braun'sche Röhre, die von 2 externen Spulen umschlossen ist, welche 2 externe Magnetfelder erzeugen) kann man feststellen, dass die Elektronen im Elektronenstrahl zuerst in der Elektronenkanone mit einem elektrischen Feld beschleunigt werden und dadurch kinetische Energie erhalten. Diese kinetische Energie ist aber mit der Energie im magnetischen Feld, die den Elektronenstrahl umgibt, identisch. Dieses Magnetfeld und die beiden externen Magnetfelder überlagern sich, so dass es auf der einen Seite des Elektronenstrahles zu einer Verdichtung und auf der anderen Seite zu einer Schwächung des magnetischen Summenfeldes kommt. Dies bewirkt eine Ablenkung des Strahles nach der schwächeren Seite.
Die Fernsehröhre und die externen Magnetfelder befinden sich dabei im zugehörigen Bezugssystem in Ruhe.
(162) Wenn alle Primärteilchen in einem Bezugssystem S0 in Ruhe sind und die Anzahl der Positronen und Elektronen gleich gross ist, dann haben all diese Teilchen die gleiche kosmische Geschwindigkeit und Richtung zu einem 2. Bezugssystem Sk (= kosmischer Entstehungsort). Deshalb wird sich auch kein gemeinsames magnetisches Differenzfeld bilden können.
Nur wenn ein Primärteilchen eine zusätzliche Geschwindigkeit relativ zum Bezugssystem S0 hat wird sich die relative kinetische Energie als magnetisches Feld bemerkbar machen.
(163) Fließt durch einen Leiter ein Strom ( Amperesches Gesetz ), dann erhalten die Leitungs-Elektronen im Leiter eine zusätzliche kinetische Energie die zu einem zusätzlichen magnetischen Feld um die Leitungselektronen führt. Durchquert dieser Leiter ein anderes ruhendes Magnetfeld, dann wird dieser Leiter seitlich abgelenkt, da auf der einen Seite des Leiters eine Feldverdichtung und auf der anderen Seite eine Feldschwächung entsteht. ( Motor-Regel )
(164) Bewegt sich ein Leiter quer durch ein ruhendes Magnetfeld, dann haben alle Elektronen und Positronen in den Massen dieses Leiters eine unterschiedliche kinetische Energie (ergibt ein zusätzliches magnetisches Feld um diese Teichen) als jene, die im Bezugssystem in Ruhe sind. Alle Elektronen und Positronen in den Massen dieses Leiters sind also prinzipiell durch das ruhende Magnetfeld ablenkbar. Da aber nur die Leitungselektronen von den Atomrümpfen des Leiters abtrennbar und beweglich sind, werden auch nur diese in Richtung des Leiters abgelenkt und bewirken so den Generator-Effekt ( Generator-Regel )
(165) Da wir sowohl dem Magnetfeld als auch dem Leiter je ein Bezugsystem zuweisen können, in dem diese in Ruhe sind, kommt es nur auf die Differenzbewegung von Magnetfeld und Leiter (oder Elektronen/Positronen) für die Entstehung der Lorentzkraft an.
(166) Bei der Beschleunigung einer Masse muss kinetische Energie der Masse hinzugefügt werden, bei der Verzögerung einer Masse wird diese Energie der Masse wieder entzogen. ( Energieerhaltungssatz )
Folglich muss eine Masse ihre Geschwindigkeit beibehalten, wenn der Masse weder Energie hinzugefügt noch entzogen wird. Sie ist also träge .
Diese kinetische Energie ist als magnetische Energie in den umhüllenden magnetischen Feldern aller primären Elementarteilchen der gesamten Masse gespeichert.
Die Masse selbst stellt also auch einen Energiespeicher dar.

(167) Auch daraus kann man schließen, dass Masse und Energie einander identisch sein müssen, nicht nur nach A.Einstein.
(168) Die Neue Theorie geht davon aus, dass alle Sekundärteilchen, aus den beiden Primärteilchen bestehen. Das gilt also auch für alle Atomkerne. Zusammen mit ihren zugehörigen Elektronen bilden sie in der Regel elektrisch neutrale Atome. Schließen sich mehrere solche Atome zusammen, dann bilden sie ein elektrisch neutrales Objekt. Zu diesem Objekt gibt es ein Bezugsystem in dem dieses Objekt in Ruhe ist.
Da die Anzahl der Elektronen und der Positronen in einem solchen Objekt gleich groß ist, kann sich kein bemerkbares Magnetfeld nach außen einstellen, weil die kosmischen Geschwindigkeiten dieser Teilchen relativ zum Bezugsystem des Objekts gleich groß sind und sich deshalb die Magnetfelder der Primärteilchen zueinander kompensieren.
Für die Ruhemasse der Primärteilchen in einem Bezugssystem ist zusätzlich auch die kinetische Energie ( verursacht durch die kosmische Geschwindigkeit ab der Entstehung der Teilchen ) verantwortlich.
Löst sich ein neutrales Objekt mit der Geschwindigkeit v relativ zu diesem Bezugssystem, dann wird sich die gesamte kinetische Energie des Objektes auf alle Primärteilchen dieses Objektes verteilen.
Die Coulombfelder und auch die Magnetfelder werden sich aber zueinander nach außen kompensieren, weil die Anzahl der Positronen und Elektronen einander gleich ist.
(168.1) Löst sich von einem neutralen Objekt ein Primärteilchen, dann wird sich die fehlende kinetische Energie dieses Primärteilchens auch auf das restliche Objekt als Magnetfeld nach außen bemerkbar machen.
(169) Dass die kinetische Energie bei kleinen Geschwindigkeiten ( v << c ) der Formel

gehorcht ist allgemein bekannt, aber welche Effekte müssen zusätzlich beachtet werden ?
Betrachten wir die frei beweglichen Elektronen in einem Leiter, oder die Elektronen in einem Elektronenstrahl:
Fließt ein elektrischer Strom, dann wird gleichzeitig ein den Leiter (oder Elektronenstrahl) umgebendes Magnetfeld erzeugt, für das jedes einzelne bewegte Elektron mit seinem umgebenden Magnetfeld verantwortlich ist. (
Amperesches Gesetz
)
(170) Jeder Leiter stellt auch eine Induktivität dar, in der die Energie (im Magnetfeld) W ind nach der Formel

gespeichert wird.
(171) Wenn wir uns jetzt als Leiterabschnitt einen idealen, superdünnen Elektronenstrahl vorstellen, in dem sich alle Elektronen mit der gleichen konstanten
Geschwindigkeit v
und in den gleichen
Abständen s
zueinander in eine Richtung bewegen, dann kann man die
Gesamtinduktivität L
auch als eine Hintereinanderschaltung aller
Teilinduktivitäten L
e
( dargestellt als die Induktivität eines einzelnen Elektrons ) auffassen.
N wäre die Gesamtzahl
aller bewegten Elektronen.

(172) Die induktive Energie W ind im gesamten Leiterabschniit wäre dann

(173) wobei der Strom I auch so dargestellt werden kann

(174) und die gesamte induktive Energie sich wie folgt berechnet

(175) Wie leicht erkennbar, hat die gefundene Formel eine Ähnlichkeit mit der kinetischen Energie W kin aller im Leitungsabschnitt bewegten Elektronen

(176) Beide Energiearten sind proportional mit dem Quadrat der Gewindigkeit der Elektronen und beide Energiearten sind auch null, wenn die Geschwindigkeit null ist.
Beide Energiearten existieren gleichzeitig und beide Energiearten beanspruchen für sich den vollen Einsatz an aufgewandter Energie.
(177) Dieser Widerspruch ist nur erklärbar, wenn beide Energiearten einander identisch sind:
Die k i n e t i s c h e E n e r g i e der bewegten Elektronen
ist in ihrem eigenen umgebenden M a g n e t f e l d gespeichert.
Die Energie für den Aufbau des magnetischen Feldes wird dabei dem elektrischen Feld entzogen, das für die Beschleunigung der Elektronen nötig ist. ( Energieerhaltungssatz )
Damit erklärt sich auch, dass ein beschleunigtes elektrisches Feld ein magnetisches Feld erzeugt.
Außerdem ergeben sich weitere weitreichende Folgerungen für die Physik.
(178) Mit der Gleichsetzung beider Energiearten

(179) ergibt sich für die Masse des Elektrons m e

(180) Um eine ungefähre Abschätzung des umhüllenden Magnetfeldes und der Induktivität des Elektrons zu erhalten, kann man folgenden Ansatz machen:
Das umhüllende Magnetfeld um ein bewegtes Elektron mit dem mittleren
Durchmesser D
bilde einen Ring mit einer
Ringbreite s
und einer
Ringdicke D.
Der Abstand zwischen 2 Elektronen wäre ebenfalls s, wenn sich bei einem superdünnen Elektronstrahl Elektron an Elektron reihen könnten.
Für die
mittlere magnetische Weglänge
ergibt sich dann
2 π D
.
Somit wäre die Formel für die
Induktivität des Elektrons L
e

(181) Für die Ringbreite s ergibt sich aus den letzten beiden Formeln

und ein Wert von 5,6 . 10
-15
m.
Das ist der
"klassische Elektronenradius"
mal 2.
(182) Setzt man an Stelle der Elektronenmasse die Masse des Protons ein, dann erhält man für s den unrealistischen Wert von 3 . 10 -18 m.
(183) Die Erkenntnis, dass bei bewegten Elektronen die kinetische Energie im eigenen umgebenden Magnetfeld gespeichert ist, muss auch für das Positron gelten, da das Positron in seinen Eigenschaften spiegelbildlich zum Elektron, wie ein Zwillingsteilchen, aufgebaut ist.
Beide Teilchen entstehen wahrscheinlich nur durch Paarerzeugung aus der Energie von elektrischen und magnetischen Feldern oder beim Auftreffen eines elektromagnetischen Wechselfeldes (Energiequant) auf ein neutrales Elementarteilchen durch Abspaltung von diesem.
(184) Alle nachgewiesenen Elementarteilchen mit einer Ruhe-Masse > m e verhalten sich ähnlich träge wie die Elektronen. Deshalb ist die Schlussfolgerung zulässig, dass diese sekundären Elementarteilchen aus den beiden primären Elementarteilchen, den Elektronen und Positronen, zusammengesetzt sind, - die Neue Theorie geht davon aus.
Je nachdem, ob es sich um ein negativ oder positiv geladenes, oder ein neutrales sekundäres Elementarteilchen handelt, besitzt ein solches Teilchen ein Elektron oder ein Positron, oder keines von beiden, im Überschuss.
Dies erklärt auch, weshalb diese Teilchen nur ein ganzzahliges Vielfaches der Elementarladung aufweisen.
Zählt man auch Atomkerne zu den Elementarteilchen, dann können auch, wie man weiß, mehrere überschüssige Positronen im Kern gleichmäßig verteilt vorhanden sein.
(185) Die Bezeichnung "Antiteilchen" sollte vermieden werden, da diese Bezeichnung den Blick verstellt, dass wahrscheinlich im gesamten Universum gleich viel Elektronen und Positronen existieren, aber nicht alle als primäre Elementarteilchen direkt in Erscheinung treten, sondern zusammengesetzt in den sekundären Elementarteilchen vorhanden sind.
(186) M.Planck äußerte in seinem Vortrag die Vermutung, dass in Stoffen Resonatoren vorhanden wären, welche die Energie der elektromagnetischen Schwingungen (Wellen) in quantisierter Form aufnehmen und auch wieder abgeben könnten.
(187) A.Einstein kommt in seinem Bericht zum Lichtelektrischen Effekt zu der Auffassung, dass Lichtquanten selbst in der Atomhülle als Teilchen vorhanden wären, für die auch das Impulsgesetz gültig sei. Diese Teilchen, Photonen genannt, bewegen sich mit Lichtgeschwindigkeit im Raum, haben aber keine Ruhemasse !
(188) Da aber alle Stoffe aus Atomen mit einem positiv geladenen Atomkern und einer Atomhülle aus negativ geladenen Elektronen bestehen ( Ernest Rutherford ), können nur die Elektronen an ihrer jeweiligen Position in der Atomhülle die Funktion dieser Resonatoren übernehmen.
(189) Somit haben wir zwei Meinungen, die zu dem "schizophrenen" Postulat in der Lehrmeinung führt: Licht hat Wellen- und Teilchencharakter .
(190) Meine Recherche kann diese Lehrmeinung nicht bestätigen !
Elektronen können Energie als elektromagnetische Wellen abstrahlen, wenn sie sich z.B. in einem Leiter periodisch hin- und herbewegen, oder sich ähnlich periodisch im Raum bewegen (z.B. auf einer Spiralbahn). Die Elektronen werden dabei abgebremst, verlieren also kinetische Energie. ( Energieerhaltungssatz )
Grundsätzlich können Elektronen, wenn sie beschleunigt werden, Energie als kinetische Energie aufnehmen (gespeichert im magnetischen Feld, das das Elektron umgibt), und auch wieder abgeben, wenn sie abgebremst werden.
(191) Bei der Entstehung eines Wasserstoffatoms wird ein Teil der kinetischen Energie eines auftreffenden Elektrons auf die Atomhülle wellenförmig als Lichtquant (in einer Portion) abgestrahlt und der Rest verbleibt beim Elektron als Energie im Magnetfeld, das das Elektron auf Abstand zum Kern hält.
(191.1) Ein Energie-Quant ist also jene Energie-Menge, die ein Elektron bei diesem Vorgang wellenförmig abstrahlt.
Auch andere gladene Teilchen können bei einem ähnlichen Vorgang Energie wellenförmig in einem Quantum abstrahlen.
Elektronen können, wenn ihre kinetische Energie innerhalb eines bestimmten Bereiches liegt immer auf den gleichen Abstand zum Kern innerhalb der Elektronenhülle springen und dabei ein Energiequantum abstrahlen.
Nur wenn ein Elektron von einer Ruhe-Position innerhalb der Atomhülle auf einen Abstand näher zum Kern springt wird die abgestrahlte Frequenz präzise sein.
(192) Der umgekehrte Vorgang , also der Photoeffekt , erklärt sich wie folgt:
Ein Elektron befindet sich relativ zum Atomkern "ruhend" in der Atomhülle an einer bevorzugten Position an der das Magnetfeld des rotierenden Elektrons abstossend zum Kern mit der gleich großen Kraft wirkt wie das anziehende Coulombfeld. Seitlich wird das Elelktron durch das negative Coulombfeld der Nachbar-Elektronen auf Abstand gehalten.
Wirkt jetzt zusätzlich an dieser Position
das Wechselfeld
einer elektromagnetischen Welle mit der passenden
Resonanz-Frequenz f
, so zwingt dieses das Elektron auf einer Spiralbahn auf die nötige Endgeschwindigkeit, mit der das Elektron die Atomhülle verlassen kann.
(Das
Arbeisprinzip
ähnelt dem eines
Zyklotrons.
Allerdings wird beim Zyklotron das Elektron durch ein äußeres Magnetfeld und ein äußeres Wechselfeld auf eine Spiralbahn gezwungen.)
Die benötigte kinetische Energiemenge (Licht- oder Energie-quantum) wird der auftreffenden elektromagnetischen Welle entzogen; - ist also elektrotechnisch logisch nachvollziehbar.
(192.1) Dieses Energie-Quantum wird also benötigt, um das Elektron von der Atomhülle zu lösen (Austrittsarbeit) und zu beschleunigen. Die Einsteinsche Formel sollte also anders interprediert werden !
Aus dieser Formel ist auch leicht zu erkennen, dass die Energiemenge, um ein bestimmtes Elektron aus einem Metall auszulösen, nicht immer exakt die gleiche Energiemenge sein muss.
(193) Wenn ein Elektron von einer äußeren Schale zu einer inneren springt oder umgekehrt , dann spricht man von einem Quantensprung. Dieser Begriff wurde von Nils Bohr eingeführt.
Bei einem Quantensprung von einer inneren Schale zu einer äußeren wird die benötigte Energie in einem Energiequant der autreffenden Welle entzogen. Bei einem Quantensprung von einer äußeren Schale zu einer inneren wird ein Energiequant ausgesendet.
(193.1) In einem Plasma (alle Teilchen haben kinetische Energie und üben deshalb einen Druck nach außen auf), in dem Elektronen von Ionen oder Atomkernen angezogen werden und dabei (Energie-) Lichtquanten abstrahlen, oder aber Energiequanten wieder aufnehmen, um aus den Ruhepositionen in den Atomhüllen sich wieder beschleunigt entfernen können, wird die dabei entstehende Frequenz der Lichtquanten eine sehr enge Bandbreite haben, weil auf Grund des dichten Plasmas sich fast nur Quantensprünge innerhalb der Atomhüllen abspielen werden.
In einem Plasma können auch alle Atome vollständig ionisiert sein. Dann kann es auch vorkommen, dass kurzeitig ein Proton oder ein anderer Atomkern von keinem Elektron oder auch von mehreren Elektronen umgeben ist, als seine Kernladungszahl es normalerweise zuläßt. Dann sind auch Quantensprünge von Elektronenschalen möglich, die normalerweise unbesetzt sind.
(194) Die hier beschriebenen Energieportionen (Lichtquanten) haben also genau die gleichen Eigenschaften, wie M.Plack in seinem Vortrag diese beschrieben hat.
(194.1) Als Teilchen wird in der Regel in der ( klassischen ) Physik ein sehr kleines Objekt mit sehr wenig Masse angesehen, deren Masse sich auch noch in einem sehr kleinen Volumen konzentriert.
Masse und Energie sind einander äquivalent ( Einstein ) und die Primärteilchen bestehen nach der neuen Theorie aus elektrischen und magnetischen Energiefeldern, - und dieser Bereich gehört auch zur Masse. Der größte Teil der Masse wird sich aber innerhalb des klassischen Elektronenradius konzentrieren.
Lichtquanten entstehen, wenn sich positiv und negativ "geladene" Teilchen, wie z.B. Elektron und Positron oder Elektron und Atomkern einander anziehen und dabei Magnetfelder ( kinetische Energie ) entstehen, die sich einander abstoßen, weil bei diesem Vorgang die Teilchen in Schwingungen oder Rotation versetzt werden.
Bei diesem Abstossvorgang wird ein Teil der kinetischen Energie der beteiligten Teilchen abgetrennt und als wellenförmige Felder in je einem Energiepaket (Quantum) so lange in abnehmender Weise abgestrahlt, bis die beiden Teilchen ( z.B. Elektron und Proton) in einem relativen Abstand zueinander zur Ruhe kommen.
So ein Photon ist also kein Teilchen im klassischen Verständnis. Es enthält aber Energiefelder mit masse-ähnlichen Eigenschaften und diese werden mit Lichtgeschwindigkeit, bezogen auf die Lichtquelle, im atomaren Bereich abgestrahlt.
Die Energiefelder sind aber nicht, wie in einem Primärteilchen in einem kugelförmig symetrischen Raum ( oder so ähnlich ) konzentriert verteilt, sondern in einer wellenförmig abnehmenden Konzentration, wobei nach jeder Halbwelle sich zusätzlich die Feldrichtung ändert.
Die Felder von mehreren Photonen können sich auch zu einem einzigen Wellenzug zusammenschließen, wenn sie die gleiche Frequenz und Phase besitzen.
Die Energiemenge (Quantum) variiert aber je nach Situation und ist nicht immer gleich groß. Auch Gleich- oder Wechselfelder können sich zusammenschließen oder gegenseitig abstoßen.
Die Aussage der Quantenphysiker , dass sich Licht (Energie) mal wie eine Welle und mal wie ein Teilchen verhält ist so nicht richtig und auch nicht das massebehaftete Teilchen einen Wellencharakter besitzen müssen.
(195) Die Theorie zum Bohr-Sommerfeldsches Atommodell ging davon aus, dass die Zentrifugalkraft des bewegten Elektrons um den Atomkern als Gegenkraft zur anziehenden coulombschen Kraft wirkt und so ein stabiler Abstand oder Abstandsbereich zum Atomkern erreicht werden kann.
(196) Es wurde aber erkannt, dass es nicht möglich sein kann, dass sich die Elektronen eliptisch oder kreisförmig um den Kern bewegen können, ohne Energie zu verlieren und deshalb auf den Kern stürzen müssten.
(197) Als Ausweg sieht die Lehrmeinung die "Flucht" in die Quantenmechanik und deren Folgetheorien, die zwar bessere Ergebnisse liefern, weil diese Theorien auf Statistik basieren, aber ein anschauliches Modell, was der Realität entspricht, können diese Theorien dennoch nicht bieten.
Es gibt lediglich das Atomorbital, das die räumliche Verteilung der Aufenthaltswahrscheinlichkeit nach der Schrödingergleichung wiedergibt, mit der das Elektron theoretisch in einem Ortsbereich gefunden werden kann.
(198) Das Atomorbital sieht außer für die inneren beiden Elektronen, keine um den Kern verteilte Aufenthaltswahrscheinlichkeit vor, so dass die Zentrifugalkraft eines bewegten Elektrons nicht die Gegenkraft zur coulombschen Anziehungskraft sein kann.
(199) Es ist also dringend erforderlich, dass die bekannten Atommodelle für obsolet erklärt und durch eine neue, plausible Theorie ersetzt werden.
(200) Wie bereits E.Rutherford erkannte, kann man sich die Atome mit einem positiv geladenen Kern, der von einer Elektronenhülle umgeben ist, vorstellen.
Die Elektronenhülle selbst besteht dann aber aus mehreren abstrakten Schalen. Auf diesen Schalen sitzen dann maximal je eine bestimmte Anzahl von gleichmäßig verteilten Elektronen.
(201) Bei der Entstehung der Atome von Wasserstoff und Helium wird beschrieben, wie die ersten beiden Elektronen auf die 1. Schale (der Untersten) kommen können.
(202) Bei den Atomen der Elemente mit der Ordnunggszahl 3 bis 10 wird die 1. Schale mit Elektronen ähnlich besetzt wie beim Helium. Die restlichen Elektronen besetzen die 2. Schale, wobei die elektrische Abstoßung dieser Elektronen zueinander berücksichtigt wird.
Da jedes Elektron auf einer Schale ein Magnetfeld besitzt, das eine abstoßende magnetische Gegenkraft zum Kern besitzt, die der anziehenden Coulombschen Kraft entgegen wirkt, so werden sich je 2 benachbarte Elekronen magnetisch zusammenziehen und es kommt zu einer Elektronenpaarbildung.
Ist die 2. Schale voll besetzt, dann ergeben sich auch 4 Elektronenpaare, die räumlich einen Tetraeder bilden, bekannt als Edelgaskonfiguration.
(203) Die Atome der Elemente mit den Ordnunggszahlen 11 bis 18 entstehen ähnlich wie die Elemente mit den Ordnungszahlen 3 bis 10 (sie besetzen die 1. und 2. Schale). Zusätzlich wird auch die 3. Schale ähnlich besetzt, wie die 2. Schale. Die Elektronen in der 3. Schale haben aber größere Abstände zueinander, als die Elektronen der 2. Schale, da sie einen größeren Abstand zum Kern haben.
Bei den Elementen mit der Ordnungszahl 19 und 20 wird die 4. Schale mit den ersten beiden Elektronen besetzt. Bei den Elementen mit der Ordnungszahl 21 bis 30 wird aber wieder die 3. Schale weiter aufgefüllt, weil durch die sukzessive Erhöhung der Kernladungszahl (ergibt stärkere Anziehung zum Kern) die Lücken in der 3. Schale weiter aufgefüllt werden.
(204) Bei den restlichen Elementen entsteht die Elektronenhülle ähnlich.
(205) Wie bekannt besteht ein Wasserstoffatom aus einem Kern mit einer positiven Ladung (meist ein Proton) und einem Elektron.
Wenn ein Elektron und ein Proton sich näher kommen, wird sich die Relativgeschwindigkeit der beiden Teilchen wegen der coulombschen Anziehungskraft ständig erhöhen.
Mit der Erhöhung der Relativgeschwindigkeit wird auch die kinetische Energie der beiden Teilchen ständig erhöht, wobei gleichzeitig Energie aus dem elektrischen Feld der beiden Teilchen entzogen wird.
Da die kinetische Energie sich im umgebenden Magnetfeld der beiden Teilchen darstellt, wird mit der Erhöhung der kinetischen Energie auch das umgebende Magnetfeld zwischen den beiden Teilchen immer stärker und dichter, wobei ein "magnetischer Druck" entsteht, der als Gegenkraft zur coulombschen Anziehungskraft wirkt.
Der magnetische Druck wird also immer größer und gleichzeitig die coulombsche Anziehungskraft immer kleiner, weil ein Energieaustausch ( Energieerhaltungssatz ) zwischen dem elektrischen und dem magnetischen Feld stattfindet.
Es wird also ähnlich, wie bei einem Positronium, zu einer Umkehrung des Anziehungsvorgangenes kommen, das zu einer Pendelbewegung im Idealfall, aber eher zu einem seitlichen Ausbrechen der Teilchen, was zu einer kreisenden Bewegungung der beiden Teilchen auf je einer Spiralbahn in entgegengesetzter Drehrichtung führen wird.
Bei diesem Vorgang wird also fast nur die kinetische Energie des Elektrons in Form von einem Energiequant mit hoher Frequenz abgestrahlt, bis die spiralförmige Bewegung des Elektrons bei einem relativen Abstand zum Proton, unter Beibehaltung der Rotation, endet.
Das dabei entstehende magnetische Feld um das Elektron bewirkt eine abstoßende magnetische Gegenkraft auf das Proton, welche der anziehenden Coulombschen Kraft entgegen wirkt.
Beim Proton vollzieht sich ein ähnlicher Vorgang, aber wegen des großen Massenunterschiedes kann das Proton nur einen Energiequant mit einer wesentlich kleineren Frequenz abstrahlen.
(206) Beim Heliumatom, das aus einem Kern mit 2 positiven Ladungen besteht, wird sich das 1. Elektron ähnlich wie beim Wasserstoffatom positionieren. Das 2. Elektron wird sich ähnlich wie das 1. Elektron, aber genau gegenüber dem 1. Elektron und dem Kern positionieren, da dort die stärkste coulombsche Anziehung vom Kern zu erwarten ist. Zusätzlich werden sich die beiden Elektronen so ausrichten, dass die starken Magnetfelder der beiden Elektronen eine weitere Anziehung zueinander und zum Kern bewirken werden.
(207) Das
Positronium
ist das einfachste
Sekundärteilchen.
Es besteht aus einem
Elektron
und einem
Positron.
Es könnte wie folgt entstehen:
Wenn ein Elektron und ein Positron sich näher kommen, wird sich die Relativgeschwindigkeit der beiden Teilchen wegen der coulombschen Anziehungskraft ständig erhöhen.
Mit der Erhöhung der Relativgeschwindigkeit wird auch die kinetische Energie der beiden Teilchen ständig erhöht, wobei gleichzeitig Energie aus dem elektrischen Feld der beiden Teilchen entzogen wird.
Da die kinetische Energie sich im umgebenden Magnetfeld der beiden Teilchen darstellt, wird mit der Erhöhung der kinetischen Energie auch das umgebende Magnetfeld zwischen den beiden Teilchen immer stärker und dichter, wobei ein "magnetischer Druck" entsteht, der als Gegenkraft zur coulombschen Anziehungskraft wirkt.
Es kommt zu einer Umwandlung von Energie im elektrischen Feld zu einer Energie in einem magnetischen Feld. ( Energieerhaltungssatz ).
Es wird also zu einer Umkehrung des Anziehungsvorgangenes kommen, das zu einer Pendelbewegung im Idealfall, aber eher zu einem seitlichen Ausbrechen bzw. zu einer kreisenden Bewegungung der beiden Teilchen auf je einer Spiralbahn in entgegengesetzter Drehrichtung führen wird.
Bei diesem Vorgang wird kinetische Energie der beiden Teilchen in Form von 2 Energiequanten abgestrahlt, bis die spiralförmigen Bewegungen der beiden Teilchen in je einem relativen Ruhepunkt zueinander unter Beibehaltung der jeweiligen Rotation enden. Die dabei entstehenden magnetischen Felder bewirken eine abstoßende magnetische Gegenkraft zueinander, welche der anziehenden Coulombschen Kraft entgegen wirkt.
( Ein seitliches Ausbrechen der Teilchen kann schon bei einer geringen Überlagerung durch ein äußeres Magnetfeld bewirkt werden, da dies zu Unsymetrien im umgebenden Magnetfeld führt. )
(208) Wie bereits erklärt, können die Elektronen in der Elektronenhülle nur deshalb auf Abstand zum Atomkern gehalten werden, weil jedes vom Atomkern eingefangene Elektron sich auf einer Spiralbahn dem Atomkern nähert.
Die dabei erhaltene kinetische Energie (im umgebenden Magnetfeld des Elektrons) wird zum Teil als Lichtquant abgestrahlt und der Rest bleibt im entstandenen Magnetfeld ( auf Grund des drehenden elektrischen Feldes vom Elektron) erhalten.
Es ist logisch nachvollziehbar, dass sich ein Elektron seine magnetische Polarität zum nächsten Elektron so ausrichten wird, dass es einerseits von diesem magnetisch angezogen wird, aber wegen der coulombschen Abstossung auf Abstand gehalten wird.
Deshalb werden sich innerhalb der Atomhülle Elektronenpaare bilden. Einzelne Elektronen werden sich mit einem einzelnen Elektron eines Nachbaratoms binden.
(209) Da 4 Elektronenpaare um einen Atomkern eine symetrische Ladungsverteilung (Tetraeder) bilden, sind solche Atome chemisch besonders stabil. (Bekannt als Edelgaskonfiguration )
Wenn sich eine solche stabile Ladungsverteilung nicht durch die eigenen Elektronen (wie bei Edelgasen) erreichen lässt, dann werden sich die nächsten Atome zu möglichst ähnlich stabilen Verbindung zusammenschliessen. ( Chemische Bindung )
(210) Es kann auch vorkommen, dass die Kraft zur Paarbildung eines Atoms größer ist als die Anziehungskraft eines anderen Atoms zu seinem außeren Elektron, dann kommt es zu einer Ionenbildung.
(211) Bei einer chemischen Bindung kann es auch vorkommen, dass ein einzelnes inneres Elektron kein Partnerelektron findet und deshalb allein auf seiner Schalenposition bleibt, dann wirkt sein Magnetfeld über das Atom hinaus und das Atom zeigt dann entsprechende magnetische Eigenschaften.
(212) Das Licht von einer Lichtquelle breitet sich im leeren Raum in jede Richtung (bezogen auf die Lichtquelle) immer mit der gleichen Lichtgeschwindigkeit c 0 aus. (-> Michelson-Morley-Experiment )
(213) Der Doppler-Effekt entsteht, wenn sich eine Lichtquelle mit der Differenz- Geschwindigkeit v von einem Lichtempfänger wegbewegt ( oder zu diesem hinbewegt ).
v = Geschwindigkeit, mit der sich die Lichtquelle vom Lichtempfänger wegbewegt
c
0
= Geschwindigkeit des Lichtes, bezogen auf die Lichtquelle
c
1
= Geschwindigkeit des Lichtes, bezogen auf den Lichtempfänger
λ
0
= Wellenlänge, mit der das Licht bei der Lichtquelle ausgestrahlt wird
λ
1
= Wellenlänge, mit der das Licht beim Lichtempfänger ankommt
f
0
= Frequenz des Lichtes, bezogen auf die Lichtquelle
f
1
= Frequenz des Lichtes, bezogen auf den Lichtempfänger
T
0
= Periodendauer des Lichtes, bezogen auf die Lichtquelle
T
1
= Periodendauer des Lichtes, bezogen auf den Lichtempfänger

(214) A.Einstein beharrt auf sein 2.Postulat.
Wenn A.Einstein mit seinem 2.Postulat Recht hätte, dann wäre ein Doppler-Effekt unmöglich, denn dann würde das ankommende Licht von einem wegbewegenden Stern die gleiche Lichtgeschwindigkeit haben, wie ein Licht gemessen an der Lichtquelle.
Wellenlänge und Frequenz wären am Empfänger und am Sender gemessen gleich.
(215) Beim geraden elastischen Stoss zweier Massen vollzieht sich der Austausch der kinetischen Energie auf die andere Masse plötzlich (also mit Lichtgeschwindigkeit). Wir beobachten dabei aber keinen bekannten elektromagnetischen Effekt. Die beteiligten Massen können sowohl aus leitendem Metall als auch aus einem nicht leitenden Material bestehen.
(216) Da wir jetzt wissen, dass die kinetische Energie in den die bewegten Elektronen und Positronen umgebenden Magnetfeldern vorhanden ist, kann man leichter verstehen, weshalb bei einem elastischen Stoss zweier gleich großer Massen, bei Kontakt, die kinetische Energie ( = Energie im magnetischen Feld ) mit Lichtgeschwindigkeit von der einen Masse in die andere übertragen werden kann.
Und auf ähnliche Weise vollzieht sich die Reflexion der kinetischen Energie bei einem elastischen Stoss zwischen einer kleinen Masse und einer großen Masse.
(217) Als Primärteilchen werden in diesem Bericht die beiden Elementarteilchen Elektron und Positron bezeichnet, weil die neue Theorie von der Annahme ausgeht, dass alle Sekundärteilchen aus diesen beiden Primärteilchen bestehen.
Elektron und Positron könnten so ähnlich aufgebaut sein, wie meine ursprüngliche Idee es zeigt. Zusätzlich müssen diese Teilchen bei ihrer Enstehung aber auch eine Beschleunigung erfahren haben, das das magnetische Feld der kinetischen Energie erklärt.
(217.1) Die Idee zeigt auch, wie die beiden Primärteilchen zu ihrer Elementarladung und ihrer Polarisation kommen und es erklärt auch, warum alle Sekundärteilchen nur ein Vielfaches der Elementarladung haben können.
(218) Die kinetische Energie der Primärteilchen könnte auch für die fehlende Energie beim 4/3 -Problem verantwortlich sein.
(219) Als Sekundärteilchen werden in diesem Bericht alle Elementarteilchen bezeichnet, deren Ruhemasse größer als die des Elektrons ist. Auch die Atomkerne gehören dazu. Die neue Theorie geht von der Annahme aus, dass alle Sekundärteilchen aus den beiden Primärteilchen bestehen.
Ist die Anzahl der Elektronen und Positronen im Sekundärteilchen gleich groß, dann heben sich die positiven und negativen Ladungen nach außen auf und das Sekundärteilchen zeigt ein neutrales Ladungsverhalten.
Ihre Entstehungsmasse, inklusive jener der kinetischen Energie werden die Teilchen aber auch zeigen.
Als Entstehungsmasse ist die Anzahl der Massen der Primärteilchen, abzüglich der Energie, die als elektromagnetische Strahlung (Massendefekt) bei der Fusion der Primärteilchen zum Sekundärteilchen entsteht.
Sind Elektronen oder Positronen im Sekundärteilchen im Überschuß, dann zeigt sich das auch im positiven oder negativen Ladungsverhalten.
(220) Sekundärteilchen können durch Fusion von geladenen Primärteilchen und oder leichteren Sekundärteilchen entstehen. Durch die Fusion werden die beteiligten Teilchen zueinander angezogen und erhalten dadurch zusätzliche kinetische Energien, die den Anziehungskräften entzogen werden. Die beteiligten Teilchen werden dabei in Drehungen und oder Schwingungen versetzt. Deshalb wird ein Teil der Energie abgestrahlt bis alle Primärteilchen im neu entstandenen Sekundärteilchen zur Ruhe kommen und die restliche Energie auf alle Primärteilchen gleichmäßig verteilt ist.
Da die Strahlungsenergie den Magnetfeldern der Primärteilchen entnommen wird und diese dadurch schwächt, führt dies zu einem Zusammenrücken der Primärteilchen im Fusionsprodukt. Deshalb sind die Abstände der Primärteilchen zueinander in einem Sekundärteilchen um so kleiner je größer die Ruhemasse des Sekundärteilchen ist.
Neutrale Sekundärteilchen können sich nur auf Grund der Gravitation anziehen. Ist die Differenzgeschwindigkeit klein, dann kann es zu einer Fusion kommen. Ist die Differenzgeschwindigkeit groß, dann kann es zu einer Spaltung der beiden Teilchen kommen.
Ist die Differenzgeschwindigkeit mittel, dann kann es zu einem elastischen Stoß der beiden Teilchen kommen.
(220.1)
Auffallend
ist, dass in der
kosmischen Strahlung
fast nur Protonen, - zusätzlich schwerere Atomkerne und Elektronen vorhanden sind. Leichtere Sekundärteilchen zerfallen oder reagieren recht schnell, Protonen praktisch nicht.
Das lässt den Schluss zu, dass die Anordnung der Primärteilchen im
Proton
eine
ideale räumliche Anordnung
haben müssen.
(221) In jeder Massenkonzentration, z.B. in Sekundärteilchen, Atomen, Planeten, Sternen usw. ist die Anzahl der enthaltenen Positronen und Elektronen fast gleich gross.
Auch die Verteilung der Positronen und Elektronen in den Sekundärteilchen wird sehr gleichmäßig sein, so dass sich die elektrischen und die magnetischen Kräfte bei einem minimalen Abstand zueinander aufheben.
Um die Primärteilchen wieder von einander zu trennen muss sehr viel Energie und Kraft ( Kernkraft ) aufgewendet werden.
2 neutrale Sekundärteilchen, die sich in einem größeren Abstand zueinander befinden werden sich nur mit einer sehr schwachen Kraft zueinander anziehen, da nur noch extrem schwache elektrische Dipolfelder übrig bleiben. Wir kennen diese Kräfte als Gravitationskraft, die Isaac Newton 1687 in seinem Gravitationsgesetz beschrieben hat.
Die mathematische Ähnlichkeit des Gravitationsgesetzes mit dem Coulombschen Gesetz ist beeindruckend !
In den Atomen machen sich diese Dipolfelder (zwischen dem positiven Atomkern und den negativen Hüllenelektronen) zwar wesentlich stärker bemerkbar, dafür ist ihre Anzahl pro Atom nur auf die Ordnungzahl der Atome begrenzt.
(222) Auch 2 neutrale Sekundärteilchen, die sich in einem sehr nahen Abstand zueinander befinden werden sich, auf Grund der Dipolfelder, mit einer sehr starken Kraft (bekannt als Kernkraft ) zueinander anziehen und es wird sehr viel Strahlungs-Energie frei, wenn es zu einer Kernfusion kommt.
(223) Wenn sich die neue Theorie bestätigt, dann muss es auch viele neutrale Sekundärteilchen geben, die aber auf Grund ihrer Neutralität kaum in Wechselwirkung mit anderen Objekten treten. Wenn aber doch, dann wird sich das spontane Auftreten einer Reaktion kaum von der bekannten Radioaktivität unterscheiden lassen.
(223.1) Alle Objekte, die Energie beinhalten, haben auch Eigenschaften einer Masse. Diese Aussage ist nicht zu verwechseln mit dem falschem Postulat von Louis De Broglie .
Alle bekannten Feldarten lassen sich durch eine Kombination von elektrischen und magnetischen Feldern erklären. Dabei ist der Energieerhaltungssatz zu beachten.
Ein Photon oder ein Energiequant ist eine Energie-Portion in Form eines elektrischen oder magnetischen Feldes, das in wellenförmiger Felddichte mit Lichtgeschwindigkeit, bezogen auf die aussendende Lichtquelle, ausgestrahlt wurde. Und da das Photon Energie enthält, hat es auch masseähnliche Eigenschaften und kann deshalb auch einen Lichtdruck ausüben. Es hat aber keine teilchen-ähnlichen Eigenschaften, so wie Primär- oder Sekundärteilchen es haben.
Mehrere Photonen gleicher Frequenz können sich zu einem kontinuierlichen Wellenzug, auf Grund der Eigenschaften, zusammenschließen. Trifft ein solcher Wellenzug auf ein Primärteilchen, so wird Energie auf dieses Teilchen übertragen, aber nicht in Form des ursprünglichen Photons, sondern durch die Kraft der Felder in die eine oder andere Richtung beschleunigt.
Es ist auch nicht bekannt, dass ein konstantes elektrisches oder magnetisches Feld oder ein technisch hergestellter niederfrequenter elektromagnetischer Wellenzug aus Photonen bestehen soll.
(224) Die neue Theorie basiert auf der strikten Einhaltung des Energieerhaltungssatzes auf der Ebene der elektrischen und magnetischen Felder und geht zusätzlich von der Annahme aus, dass alle Sekundärteilchen, aus den beiden Primärteilchen ( Elektron und Positron ) bestehen.
In einem Sekundärteilchen bewirken die Elektronen und Positronen zueinander sowohl anziehende als auch abstoßende Kräfte. Diese führen auch zu einem extrem minimalen Abstand zueinander.
Die Kräfte resultieren aus den bekannten coulombschen und magnetischen Feldern, welche die Primärteilchen umgeben bzw. aus diesen bestehen.
Die magnetischen Felder erklären sich aus der kinetische Energie und der Entstehung vom Positronium.
Die elektrischen und magnetischen Felder enthalten Energie, welche proportional für die Masse des Teilchens verantwortlich ist.
Unser Universum besteht aus diesen Teilchen und aus Objekten, die aus diesen Teilchen zusammengesetzt sind und aus den genannten Feldern.
(224.1) Im wesentlichen unterstützen die neuen Erkenntnisse zur kinetischen Energie und die Konsequenzen daraus diese neue Theorie.
(225) Mit der Neuen Theorie lassen sich beispielsweise das Transformatorprinzip , der Aufbau der Atome , die Entstehung von Lichtquanten , die Trägheit der Masse , die Gravitation , und die Kernkraft plausibel erklären.
(226) Die neue Theorie kann man nicht verstehen, wenn man weiter an den widerlegbaren Postulaten der Lehrmeinung festhält.
(227) Hier eine Liste widerlegbarer Postulate, die nach Lehrmeinung aber richtig sind. (Ohne Anspruch auf Vollständigkeit.)
Zu den Grundprinzipien der Physik gehört aber, dass alle physikalischen Vorgänge immer logisch und konsequent ablaufen.( Determinismus )
Es kommt aber zu einem scheinbaren Indeterminismus, weil es technisch nicht immer möglich ist, alle beeinflussenden Parameter zu kennen.
(228) Wenn man Lehrbücher oder Berichte zur Physik liest, dann könnte man glauben, dass es in der Physik nicht mehr wesentlich Neues zu entdecken gibt. Der "Klassischen Physik" werden die Einsteinsche Relativitätstheorie und die Quantentheorie als die "Säulen der modernen Physik" beigestellt und alle neueren Theorien sollen darauf aufgebaut werden können.
- Dies ist auch die Lehrmeinung - .
Meine Recherche dazu hat mich überrascht. Ich habe nicht erwartet, dass sich beide "Säulen" als falsch erweisen und dass es deshalb nötig ist nach einer richtigen, neuen Theorie zu suchen.
(229) Eine neue Theorie , die den Anspruch erhebt als Basistheorie der Physik zu gelten, wird sich nur dann als richtig erweisen, wenn sich alle bekannten empirisch bewiesenen physikalischen Effekte auf Basis der neuen Theorie plausibel erklären lassen.
Die Einsteinsche Relativitätstheorie und die Quantentheorie ( Quantenmechanik ) erfüllen diese Eigenschaften nicht.
(230) Im ersten Bild wird das Interferenzmuster von monochromen, sichtbarem Licht (Na-D-Line) gezeigt. Es entsteht, wenn sich 2 Lichtstrahlen der selben Frequenz, aber mit einer Phasenverschiebung zueinander überlagern.
Licht gehört zu den elektromagnetischen Wechselfeldern, die sich mit wellenförmiger Intensität ausbreiten. An Stellen, wo die Felder der beiden Strahlen die gleiche Feldrichtung haben, werden sie sich verstärken, und dort, wo sie die entgegengesetzte Feldrichtung haben werden sie sich abschwächen.
(231) Auch beim Doppelspaltexperiment von Thomas Young entsteht eine solche Phasenverschiebung, denn dort trifft monochromes Licht auf einen Doppelspalt und dahinter entstehen 2 Lichtstrahlen mit der selben Frequenz. Dort wo diese beiden Lichtstrahlen aufeinander treffen, können sie wegen den unterschiedlichen Weglängen, eine Phasenverschiebung zueinander haben.
Bildzitat aus Wikipedia: https://de.wikipedia.org/wiki/Fabry-P%C3%A9rot-Interferometer am 18.6.2022.

(232) In den nächsten 4 Bildern wird gezeigt, was passiert, wenn man einen Elektronenstrahl durch einen Doppelspalt hindurch schießt und auf einen Bildschirm auftreffen läßt.
Bei diesem Doppelspaltexperiment von Claus Jönsson zeigt sich, dass sich mit wachsender Anzahl der am Bildschirm ankommenden Elektronen sich eine wellenförmige, statistische Verteilung der Elektronen ergibt. Die Elektronen der beiden Strahlen beeinflussen sich gegenseitig durch ihre elektrischen und magnetischen Felder. ( Ergibt ein instabiles Wechselfeld. )
Bildzitat aus Wikipedia: https://de.wikipedia.org/wiki/Doppelspaltexperiment am 18.6.2022.

(233) Bildzitat aus Wikipedia: https://de.wikipedia.org/wiki/Faradaysches_Paradoxon am 18.6.2022.

(234) Plausible Erlärung: Bei Drehung der Aluminiumscheibe wird ein elektrisches Feld, zum Schleifkontakt der Alu-Scheibe erzeugt. Es entsteht wegen der rotierenden Relativbewegung zwischen dem ruhenden Magnetfeld und den frei beweglichen (leitenden) Elektronen in der Alu-Scheibe.
(235) Drehen sich beide Scheiben gleich schnell, dann gibt es keine Relativbewegung zwischen der Alu-Scheibe und den Magneten (ergibt keine Spannung). Es gibt aber eine Relativbewegung zwischen den Magneten und der ruhenden Zuleitung zum Schleifkontakt (ergibt Spannung).
(236) Dreht man nur den Magneten, dann entstehen sowohl in der Alu-Scheibe, als auch in Zuleitung zum Schleifkontakt Spannungen. Beide Spannungen heben sich aber auf, weil sich die magnetischen Feldlinien durch die Alu-Scheibe und über die Zuleitung zurück zum Südpol hin schliessen. (Die beiden Magnetfelder sind entgegen gerichtet.)
(237) Bildzitat aus Wikipedia: https://de.wikipedia.org/wiki/Elektromagnetische_Induktion#Heringsches_Paradoxon am 18.6.2022.

(238) Es ist verständlich, dass in diesem Experiment keine Spannung erzeugt wird, weil das bewegte magnetische Feld die gleiche Relativgeschwindigkeit besitzt, wie die leitenden Elektronen im Magneten.
Entscheidend ist aber die Relativgeschwindigkeit zwischen dem Magnetfeld und den Elektronen im Magneten, - und die ist null !
(239)
Ulrich Gradmann / Hans Wolter:
1971, "Grundlagen der Atomphysik",
Akademische Verlagsgesellschaft Frankfurt am Main 1971
(240)
A.P.French:
1968, "Die spezielle Relativitätstheorie",
Friedr. Vieweg + Sohn Braunschweig, Übersetzung von 1971
(241)
Kenneth W.Ford:
1966, "Die Welt der Elementarteilchen",
Springer-Verlag Berlin Heidelberg New York, Übersetzung von 1966
(242)
Albert Einstein:
1905, SRT, "Zur Elektrodynamik bewegter Körper",
(Annalen der Physik. 322, Nr. 10, Juni 1905, S. 891–921)
(243)
Albert Einstein:
1905, "Ist die Trägheit eines Körpers von seinem Energieinhalt abhängig ?",
(Annalen der Physik. Band 18, 27. Sept. 1905, S. 639)
(244)
Albert Einstein:
1907, "Über das Relativitätsprinzip und die aus demselben gezogenen Folgerungen",
(Annalen der Physik. Band ?, 4. Dez. 1907, S. 411)
(245)
Albert Einstein:
1916, ART, "Die Grundlage der allgemeinen Relativitätstheorie",
(Annalen der Physik. Band 49, 20. März 1916, S. 770)
(246)
Albert Einstein:
1905, "Über einen die Erzeugung und Verwandlung des Lichtes betreffenden heuristischen Gesichtspunkt",
(Annalen der Physik. 322, Nr. 6, 17.3.1905, S. 132)
(247)
Hendrik Antoon Lorentz:
1892,"Die relative Bewegung der Erde und des Äthers"
Wikisource,(Amsterdam, Zittingsverlag Akad. v. Wet., 1 [1892], p. 74.)
(248)
Hendrik Antoon Lorentz:
1895, Versuch einer Theorie der electrischen und optischen Erscheinungen in bewegten Körpern/Abschnitt III
Wikisource
(249)
Hendrik Antoon Lorentz:
1904, "Elektromagnetische Erscheinungen in einem System, das sich mit beliebiger, die des Lichtes nicht erreichender Geschwindigkeit bewegt",
(Verlag: B.G. Teubner 1913)
(250)
Walter Kaufmann:
1902, "Die elektromagnetische Masse des Elektrons",
(Physikalische Zeitschrift, 1902, 4 (1b): 54-57)
(251)
Max Planck:
14.12.1900, "Zur Theorie des Gesetzes der Energieverteilung im Normalspectrum",
(Verhandlungen der Deutschen Physikaliachen Gesellschaft Nr.17, Seite 237
(252)
Henri Poincaré,
Org. ?.1898, "Das Maß der Zeit"
B.G.Teubner(1906),Leipzig,Wikisource
(253)
Henri Poincaré,
Org.24.9.1904, "Der gegenwärtige Zustand und die Zukunft der mathematischen Physik"
Wikisource
(254)
Henri Poincaré,
Org. ?.1906, "Das Ende der Materie"
B.G.Teubner,Leipzig,Wikisource
(255)
Henri Poincaré,
Org. ?.1910, "Die neue Mechanik"
B.G.Teubner(1911),Leipzig,Wikisource
(256) Max-Planck-Gesellschaft: 20.2.2016, "Wie lange leben Positronium-Ionen?"
(257) Wikipedia: Im Internet
(258) Weitere Quellenangaben der verwendeten Zitate:
Keine
sind in Sub-Absätzen zu erkennen. Auch neue Hauptabsätze sind so zu erkennen. Sub-Absätze beginnen mit einer Sub-LaufNummer .